【導讀】本文介紹了目前三種5G射頻組件,并關注這些組件在軍事通信領域中的應用。通過詳細介紹RF MEMS開關、基于物聯網的能量收集器、RF SAW濾波器三種組件的內部結構、技術特點以及它們支持增強系統應用的功能,同時根據其技術特點,對5G通信配套組件在未來軍事通信領域的應用進行了展望。
0 引言
隨著物聯網(IoT)的出現以及下一代移動網絡5G目標的實現,電路和設備技術都取得了長足的進步。本文重點介紹三種5G器件技術及其組件,從射頻/微波微機電系統(MEMS)器件到物聯網傳感器的能量收集,再到聲表面波濾波器的應用,并對這三種組件的軍事通信應用技術可行性進行了探討,給出了應用示例。
本文第一部分介紹并評估RF MEMS開關以及實現所需要的RF的設計要求,這里主要關注RF MEMS開關構成和RF性能方面的先進性,因為它們將在未來通信領域,特別是軍事通信領域發揮越來越重要的作用。
第二部分主要關注能量收集器在IoT中的應用,主要討論熱電能量發生器(TEG)設備。熱電能量收集器指的是那些可以用收集到的微量的浪費熱量來產生可使用電能的設備,該轉化的電能反過來可以應用在設備上。無論是軍用還是民用通信設備,熱-電能量發生器的優勢適合于一些不便接受或更換的場景,因此在軍事通信裝備中將有廣闊應用的可能。
第三部分將介紹RF表面聲波(SAW)濾波器的技術和應用。這些叉指式換能器(IDT)內容的介紹將主要針對射頻前端接收的無源MEMS諧振器及搭建成的多級SAW濾波器,目前這種濾波器已開始在軍事通信領域展露出相關應用。
最后,本文分別對三種組件的技術局限或應用瓶頸,以及它們在工藝和工程推廣中存在的困難和不足,進行分析和介紹,并對全文進行總結。
1 射頻微機電系統(RF MEMS)
過去,MEMS開關一致被認為是性能有限的機電繼電器的優越替代品,憑借易于使用、損耗最小、線性度好、隔離度高、可靠性高的優勢,從0 Hz到數百GHz的小型開關,一經問世就改變了許多電子設備的實現方法,尤其在電子測量、國防軍事和健康監護等行業設備中形成了規模應用。
RF MEMS器件是MEMS與射頻技術相結合的一類器件,具有體積小、易集成、功耗低、可靠性高、Q值高等優點,可代替傳統無線通信設備中的半導體器件,既可以器件配裝電路,如MEMS開關、MEMS電容、MEMS諧振器,也可以集成到同一芯片組成組件和模塊,如濾波器、VCO、RF MEMS移相器。將來很長一段時間,功率半導體器件(也被稱為第三代半導體器件),會成為電子設備尤其是功率電子設備的主要發展方向。目前在軍事通信設備領域,國產功率器件和MEMS器件進行組合,相對于原先以晶體集成電路加功率放大電路的組合,正慢慢開始替代升級,成為通信設備、光電、雷達配套組件電路設計中的一種新思路。RF MEMS開關和IGBT器件的結合,在對功率和高頻同時具有高指標和高可靠性要求的場合,具有革命性的意義,如應用于相控陣雷達天線的T/R模塊,其性能對設備和系統應用具有深遠影響。
(1)主動開放式MEMS
這里介紹一型DC(K波段)0 Hz~26 GHz且超長使用壽命的單刀雙擲(SPDT)MEMS開關,與集成驅動電路配合使用,技術成熟度較高,已在多個工程型號中應用。該開關在26 GHz時具有1 dB的插入損耗和23dB的阻斷隔離。MEMS開關可實現的射頻特性非常適合5G和毫米波軍事通信設備,因為它們的器件非線性特性非常明顯,且具有低損耗和高帶寬,這幾乎是為軍事通信裝備量身定做的,很容易滿足電路的功率要求。ADI公司的一型5G通信MEMS開關,技術指標就達到了69 dBm的IIP3線性度且在大于36dBm的功率下正常工作的水平。
圖1展示了主動開放式MEMS裝置的三維表示以及其對應的SEM顯微照片圖像。兩個柵電極分別位于光束的后部和前部,通過向相應的控制電極施加適當電壓,使光束閉合和靜電打開。該MEMS開關管芯使用高電阻率硅晶片構造,該硅晶片在二氧化硅電介質中實現多晶硅、鋁和鎢的CMOS兼容互聯,以形成開關器件的電互連。然后使用特殊的不粘接觸金屬和鍍金工藝,將開關裝置在該電介質的頂部進行微機械加工,隨后使用金屬犧牲層釋放金屬,最后再使用晶片級密封玻璃蓋將開關封裝在硅外殼中。

圖1 主動開放式MEMS開關的SEM顯微照片及封裝形式圖
(2)MEMS性能
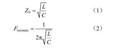
如圖1所示,通過最小化引線鍵合電感,我們可以在塑料封裝中實現26 GHz的RF帶寬。與此同時,我們需要使用多個并聯引線鍵合將其值降到約300 pH,并配置裝置設計以盡可能縮短引線的跨度。然后我們在MEMS芯片上產生調諧匹配電容(約120 fF),同時與引線鍵合產生50 ?的匹配電阻,從而最大限度地減少反射和回波損失。接下來,利用式(1)來計算所需要的匹配電容值,利用式(2)計算出由引線鍵合與焊盤處的匹配電容產生的LC諧振器的截止頻率為26.48 GHz。

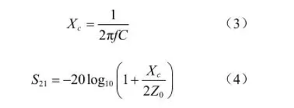
器件的隔離標準由開關的輸入到輸出電容決定,它由開關級的三個主要元件組成:從尖端到漏極觸點的電容、從光束到漏極區域的電容,以及從源極區域到漏極通過襯底的電容。在此基礎上,我們需要盡力使得所有這些電容最小化來達到5 fF以及更小的參數級別。式(3)用來計算在給定感興趣頻率f下電容器的電阻電抗(XC),其中C是開關的關斷狀態電容。式(4)可以用來計算以來于電抗器件的傳輸系數(斷開隔離)以及系統的特征阻抗。

圖2給出了不同的電容之間的期望絕緣隔離與頻率之間的關系圖,可以看出小于4 fF的電容需要在26 GHz處產生25dB的隔離。

圖2 不同的電容之間的期望絕緣隔離與頻率之間的關系圖
RF MEMS開關具有小型化、低成本、低功耗、高度集成化等方面的優勢,逐漸廣泛應用于軍民各領域,主要包括移動電話、便攜式計算機的數據交換。
軍用市場因小型化、智能化的發展趨勢,對RF MEMS器件的需求量日益劇增,如基于MEMS技術的軍用微型機器人、軍用微型飛行器和軍用微納衛星等。目前,并聯電容式MEMS開關已工作到驅動電壓30 V,工作頻率30 GHz的插入損耗小于0.2 dB,隔離度大于40 dB,已可以用于機載、車載、艦載收發機和衛星通信終端、北斗導航等軍用通信領域,尤其率先應用于信息化作戰指揮、戰場通信、微型化衛星通信系統、相控陣雷達等方面。
另外,根據MEMS開關不同的特性,將多個開關串聯、并聯或混聯組成一個開關模組,具有更高的隔離度和性能。如將電容式開關并聯提高可靠性,將開關級聯則可以形成各類移相器;通過設置開關數量改變相移的步進,通過控制開關通斷實現相移;通過利用MEMS開關控制信號傳輸的通斷可實現濾波器的模擬和數字可調;把MEMS開關按相控陣天線的布局方式組合形成一個可重構天線,通過控制開關網絡可使天線實現在不同頻率和工作模式中切換,可應用于對不同工作頻率(覆蓋不同頻率的無線通信局域網)、波束波形(雷達陣列天線)和工作模式(如自動導航系統)有特殊需求的軍事裝備等等。
2 熱-電能量收集器
MEMS技術發展的關鍵技術之一是微能源技術。熱-電能量收集器指的是那些可以用收集到的微量的浪費熱量來產生可使用電能的設備。可用于能量采集的熱能主要包括溫度梯度和熱流,對應的能量采集器被稱為溫差電池或熱電發電機,是一種基于熱電效應(或稱為塞貝克效應),利用溫度差異使熱能直接轉化為電能的裝置。溫差電池的材料主要有金屬和半導體兩種,后者的熱電效應較強。熱電效應強弱對應著熱-電能轉化效率的高低。微型熱-電發電機最成功的應用當屬日本精工的熱電腕式手表,該手表使用10個熱電模塊采集人體-環境之間的溫度差,并轉換成微瓦量級能量驅動手表運動。
物聯網中最需要的是大量傳感器,將態勢、將能量、信息進行傳輸、收集,以匯總、分析或幫助判斷產生指令,傳感器的類型越多,功能越強大,物聯網的作用和效果就越好。面向物聯網射頻收發組件自供電低功耗熱電-光電集成微型傳感器結構方案中,熱-電-光集成微型能量收集器作為能量轉換單元,可同時收集射頻功率放大器工作中耗散的熱能和環境中的光能,收集的電能能夠為射頻收發組件自身的低功耗模塊(LNA)或微波信號檢測器等構成的無線網絡傳感節點供電,實現傳感系統的自供電或能量自主。
熱-電能量收集器能夠將自身的供電系統應用到傳感器上并將它們使用在一些不太容易接近的場景中,同時還能省卻更換電池的環節費用和降低維護成本。作為“零腳傳感器”終極設計目標的一部分,其目的是從大約10℃的溫度下降中產生足夠的功率(約400 μW)來為無線傳感器節點供電。在某些特殊領域,傳感器節點所需要的所有功率是通過將節點安裝到加熱表面(如泵、馬達、熱水器、管道)上,通過吸收環境的熱能而產生電能為監測節點傳感器供電,而實現無線供電、無限運行時間的目的。
這里介紹一種通過貝塞克效應將廢熱轉化為電能的設備,當熱電-光電集成微型能量收集器兩端加載10 K的溫差時,1 cm 2的芯片可輸出0.6 μW的功率,其結構原理如圖3。

圖3 熱電能量轉化器原理圖
在智能化和信息化的今天,節點傳感器的功耗可以通過組件以及數據傳輸速率和傳輸模式進行適時調整和優化,也就是說,熱-電能量收集器可以實現一定的自適應調整功能,融入低能耗、能耗管理功能,優化調整集電供電方式,以適應用電單元或監測模塊的用電需求,使模塊工作時間更長狀態或設備更易被監控。
事實上,目前軍用市場對能量收集器這一新技術的需求也逐漸升溫,熱電能量收集器應用主要集中于作戰飛機和直升機的健康和使用監控系統(HUMS),減小功率器件損耗,延長設備壽命,有效降低了事故率,增加了安全性,減小了使用維護費用,具有十分重要的軍事和經濟效益。未來,熱-電能量收集器可用于裝備共形相控陣列的飛機上,如安裝在飛機機翼的非維護部位,一方面由于射頻發射機工作時會產生大量的熱,以及飛機飛行中存在顯著的熱對流,為熱-電發電收集提供了理想熱源;另一方面,飛機高空飛行時陽光更加充足,微型光電發電機的輸出效能可觀。熱電-光電能量收集器不僅可為射頻收發組件的自身低功耗模塊(LNA)或監控發射功率、諧波失真的微波信號檢測器供電,實現面向射頻收發組件自供電/低功耗熱電-光電集成傳感系統,還可以為其他多種類型的無線低功耗傳感器(比如無線式氣壓傳感器、溫度傳感器、雨量傳感器以及風向/速度傳感器等)節點供電,用于檢測飛機表面環境,引導飛機航行和情報數據的采集。其實,不僅限于熱-電轉換,微能源可來源于熱-電、光-電、機械-電、電磁-電等多種能量轉換方式,集成化、多樣化的微型能量發電機將會具有廣闊而光明的應用前景。
3 RF SAW濾波器(射頻聲表面波濾波器)
射頻干擾一直是通信產品設計師的天敵,需要防范隔離來自設備自身及外界的多源干擾。射頻濾波器將通信設備發射和接收的無線電信號從不同頻段中分離出來,其中SAW因低插損和良好的抑制能力,且被制作在芯片上,而天然具有一系列優勢,包括電/機或機/電的能量轉換效率極高、發射/接收隔離度好、高頻選擇性好、品質因數高(個別產品大于5000)、較低的插損(1~3 dB)、溫度穩定性好。溫度漂移小于10 ppm/ ℃。目前主要應用在無源或低輻照的RF喚醒系統,例如醫療保健行業的遙測等,該喚醒系統還可以與無線收發器、傳感器系統集成共同封裝,與基于占空比的喚醒系統相比,該系統可以通過降低功耗來最大化電池壽命。
目前,在新一代通信產品開發中,采用MEMS RF濾波器將首先設置接收器的選擇性,這需要選擇具有低插入損耗、低溫度系數和高頻選擇性好的無源濾波器。從設計角度盾,RF SAW濾波器完全滿足較高的Q值以及低插入損耗諧振器的要求,能極大提升RF MEMS濾波器性能。
圖4所示的結構是一種用于北斗導航通信設備的IDT TC-SAW(叉指換能結構溫度補償聲表波)諧振器器件結構,它采用了6級諧振器串并聯而構成了梯形結構的濾波器,可以滿足北斗導航下行2492 MHz濾波器的設計需求。圖5結構的SAW濾波器,經過試驗測試和工程驗證,性能測試結果見表1~表3,類似結構形式也可用于其他型號設備。

圖4 SAW諧振器結構圖

圖5 SAW濾波器結構圖以及不同壓電材料的濾波器頻率響應
表1 諧振器結構參數

表2 SAW濾波器基本參數

表3 聲表濾波器常溫測試結果(23 ℃)

RF SAW濾波器通過調節諧振器參數可獲得不同情況下SAW諧振器的性能,比如擁有較高機電耦合系數值K2的壓電材料,就可以實現更高帶寬,通過調節電路的靜態電容比Cop/Cos或在電路中串/并聯加入新的諧振器等方法,可以改進濾波器電路的頻率響應,實現擁有寬帶、高抑制、低插損和高陡峭度的SAW濾波器。而RF SAW濾波器在設計上的主要特點是設計靈活性大、模/數兼容、頻率選擇性好、傳輸損耗小、抗電磁干擾能力強、可靠性高、體積小重量輕等。這些特點正適應了現代通信設備輕薄化、數字化、高性能、高可靠等方面要求,在軍事領域中RF SAW濾波器主要應用于跳/擴頻通信、脈沖壓縮雷達、電子對抗和遙感導航等。
4 總結
本文概述了三種用于實施5G生態系統和擴展物聯網的模組件技術特點,并重點介紹了RF MEMS開關的技術特點。它不僅可以支持數據測量,并且在毫米波工作頻段具有低插入損耗的特點和出色的射頻控制性能,這樣的參數性能對于軍事通信裝備非常適用。但同時,RF MEMS器件也存在技術難點,如:受加工工藝約束,性能穩定性不夠好;可靠性受材料和環境的影響大,目前壽命參數的穩定性還需要提高;器件封裝質量對性能的影響目前是工程化應用的瓶頸;驅動電壓通常較高( 30~80 V ),在處理大功率的射頻信號時容易導致失效。如果工程化可穩定實現,那這些性能優異、價格適中、可靠性穩定性高的RF MEMS通信組件,必將在下一代軍事通信領域大放光彩。
另外,本文提出的基于物聯網應用的熱電能量收集器以及健康監測等應用,也有一定的技術瓶頸。在目前技術下,受材料特性的局限,光-電收集和轉化效能輸出高于熱-電效應。另外,DC-DC轉換是實現熱-電集成微型能量收集器對外輸出功率的必要環節,對微型熱電式發電機來說,輸出的電壓都明顯小于常見器件的供電電壓,需要通過DC-DC電路對它們的輸出升壓后,再為電池充電。但即便如此,基于MEMS技術的熱/光-電發電機等微能源技術,必將是未來低功耗器件的理想解決方案。
最后,本文介紹了RF SAW濾波器的技術特點和應用,以及當前面對工程應用的技術難點和局限性,RF SAW諧振器因其無源和良好射頻特性,高Q值和低插損等特點,都非常適合于軍事通信設備的射頻接收前端。不過,目前RF SAW濾波器也存在技術上的不成熟和短板,一是目前技術上適合于3 GHz工作頻率以下,如頻率過高則其基片材料剛度變小、聲速會降低,其性能特性受溫度變化的影響會大幅惡化;二是基片的定向、切割、研磨、拋光等制造工藝復雜,對設備的精度和工藝要求高,且投入大;三是所需材料價格昂貴,成本過高,產品特性與軍事裝備可靠性要求還有一定差距。一旦將來材料工藝和高頻段應用等技術難點攻克,它將會廣泛應用于未來軍事通信設備的射頻接收。
本文內容轉載自《現代導航》2020年第6期,版權歸《現代導航》編輯部所有。
免責聲明:本文為轉載文章,轉載此文目的在于傳遞更多信息,版權歸原作者所有。本文所用視頻、圖片、文字如涉及作品版權問題,請聯系小編進行處理。
推薦閱讀:




