【導讀】在使用濾波器的應用中,通常人們對幅值響應的興趣要比對相位響應的興趣更濃厚。但是,在某些應用中,濾波器的相位響應也很重要。一個實例是 濾波器用于過程控制環路中的情形。這里,人們關心的是總的相移量,因為它影響到環路的穩定性。用來搭建濾波器的拓撲結構是否會造成在某些頻率點處符號出現 相反,是非常重要的。
將有源濾波器視為兩個級聯的濾波器是一個有用的方法。如圖1所示,其中一個濾波器是理想的濾波器,用于體現傳遞函 數;另一個是構成濾波器的放大器。在閉環的負反饋環路中所采用的放大器可以被視為一個具有一階響應的、簡單的低通濾波器。當頻率超過某一點后,增益將隨著 頻率的增長而出現滾降現象。此外,如果放大器使用反相放大結構的話,則所有頻率點上還將出現附加的180°相移。

圖1. 以兩個級聯的傳遞函數的形式表示的濾波器
濾 波器設計過程可分為兩步。首先選定濾波器的響應特性,接下來選出適當的電路結構來實現它。濾波器的響應是指衰減曲線的形狀,這常常可以歸為經典的響應特性 中的一種,如Butterworth、Bessel或者某種Chebyshev型。雖然這些響應特性的選擇往往會影響幅值響應特性,但它們也會影響相位響 應特性的形狀。在本文中,為了進行比較,忽略幅值響應,認為其幾乎不變。
濾波器的復雜性往往通過濾波器的“階數”來定義,該參數與儲能元 件(電感和電容)的數量有關。濾波器傳遞函數分母的階數定義了隨著頻率的上升而呈現的衰減速率。漸近線型的濾波器滾降速率為-6ndB/倍頻程,或者 -20ndB/十倍頻程,其中n是極點的數量。倍頻程是指頻率的二倍或者一半,十倍頻程是頻率的十倍增長或者縮減。因此,一個一階(或者單極點)濾波器的 滾降速率為-6dB/倍頻程或者-20dB/十倍頻程。類似的,一個二階(或者2極點)濾波器的滾降速率為-12dB/倍頻程或者-40dB/十倍頻程。 更高階次的濾波器往往是由級聯的一階和二階基本單元所構成的。自然,我們可以利用單個有源放大電路級來構建三階、甚至四階濾波器,但是對于元件值的敏感, 以及元件之間的相互作用對頻率響應所造成影響的大幅度上升,會使這些選擇不那么具有吸引力。
傳遞函數
首先,我們考察一下傳遞函數的相位響應。對于同樣階數的濾波器選項來說,它們的傳遞函數的相移特性都相同。
對于單極點、低通的情形,傳遞函數的相移為φ,由下式給出。
式中:ω = 頻率(弧度/秒)
ω0 = 中心頻率(弧度/秒)
以弧度/秒為單位的頻率等于2π乘以以Hz為單位的頻率,這是因為每個360°周期對應著2π弧度。由于上面的表達式是一個無量綱的比值,故f和ω都可以采用。
中心頻率還可以被稱為截止頻率(即該單極點、低通濾波器的幅值響應特性下降3dB——約30%——的頻率點)。在相位關系方面,中心頻率是相移量達到其最終 值-–90°(在這個例子中)的50%時的頻率點。圖2是一幅半對數圖,描述了公式1所表述的相位響應關系,其頻率范圍是中心頻率以下的兩個十倍頻程至中心頻率以上的兩個十倍頻程。中心頻率(=1)處的相位移動為–45°。

圖2. 一個單極點、低通濾波器在中心頻率附近的相位響應(同相,左軸;反相響應,右軸)
類似的,一個單極點的高通濾波器可以由下式給出:
圖3描繪了公式2所表示的、在中心頻率以下兩個十倍頻程至中心頻率以上兩個十倍頻程這一范圍內的響應特性。其歸一化的中心頻率(=1)處的相移為+45°。
顯然,高通和低通特性類似,只是相互間存在90°的相位差(π/2 radians)

圖3. 一個單極點、低通濾波器在中心頻率 1 附近的相位響應(同相,左軸;反相響應,右軸)
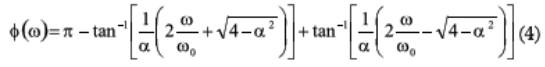
對于二階、低通的情形,傳遞函數的相移可以由下式近似表示為

式中α是濾波器的阻尼比。它將決定幅值響應曲線上的峰值以及相位曲線過渡段的陡峭程度。它是電路的Q值的倒數,這也決定了幅值滾降或相位偏移的陡峭程度。 Butterworth響應的α為1.414(Q=0.707),可以產生最大平坦度響應特性。更低的α會使幅值響應特性曲線上出現尖峰。

圖4. 一個雙極點、低通濾波器的中心頻率 1 附近的相位響應(同相,左軸;反相響應,右軸)
圖4描繪了該式所表示的(α=1.414)、在中心頻率以下兩個十倍頻程至中心頻率以上兩個十倍頻程這一范圍內的響應特性。這里,中心頻率(=1)處出現的相位偏移為–90°。
一個2極點、高通濾波器的相位特性響應可以由下式近似表示
圖5描繪了該式所表示的響應特性(同樣有α=1.414),其范圍是中心頻率(=1)以下兩個十倍頻程至中心頻率以上兩個十倍頻程,相應的相移為

圖5. 一個雙極點、高通濾波器的中心頻率1附近的相位響應(同相,左軸;反相響應,右軸)
同樣的,顯然高通和低通相位響應是類似的,僅僅存在180°的相位偏移(π弧度)。
在更高階數的濾波器中,每個附加段的相位響應都累加到總的相移量之上。這一特性將在下面進一步予以討論。為了與通常的實踐保持一致,所示出的相移被限制為±180°的范圍之內。例如,–181°事實上等價于 +179°,360°等價于0°,依此類推。
一階濾波器段
一階濾波器段可以以多種方式來構建。 圖6示出最簡單的一種結構,即使用無源的R-C架構。該濾波器的中心頻率為1/(2πRC)。它之后往往接一個同相的緩沖放大器,以防止濾波器之后的電路 對其產生負載效應,負載會改變濾波器的響應特性。此外,緩沖器還可以提供一定的驅動能力。相位響應如圖2所示,即在中心頻率點處產生45°的相移,正如傳 遞函數所預測的那樣,這是因為沒有另外的元件改變相移特性。這種響應特性將被稱為同相、一階、低通響應特性。只要緩沖器的帶寬顯著高于濾波器,那么緩沖器 就不會帶來相移。

圖6. 無源低通濾波器
請記住,這些圖中的頻率值是歸一化的,即相對于中心頻率的比值。例如,若中心頻率是5kHz,則這些圖將展示50Hz到500kHz范圍內的相位響應特性。
圖 7示出另外一種結構。該電路增加了一個并聯電阻,對積分電容進行連續放電,從根本上來說它是一個有損耗的積分器。其中心頻率同樣是1/(2πRC)。因為 該放大器是以反相模式工作的,故反相模式將在相移特性上引入附加的180°相位。圖2示出了輸入-輸出的相位差隨頻率的變化,其中包括了放大器引入的反相 (右軸)。該響應特性將被稱為反相的、一階、低通響應。

圖7. 利用工作在反相模式的運放搭建的有源、單極點、低通濾波器
上面所示的電路可以衰減高頻分量而通過低頻分量,均屬于低通濾波器。可以通過高頻分量的電路則與之類似。圖8示出一個無源的一階、高通濾波器電路結構,其相位隨著歸一化頻率的變化特性則示于圖3中(同相響應)。
圖8. 無源高通濾波器
圖3(左軸)的曲線被稱為同相、一階、高通響應特性。該高通濾波器的有源電路示于圖9中。其相位隨頻率的變化示于圖3中(右軸)。這將被稱為反相、一階、高通響應。

圖9. 有源、單極點、高通濾波器
二階濾波器段
二階濾波器有各式各樣的電路結構。這里要討論的是Sallen-Key、多路反饋、狀態變量結構,及其類似的雙二階濾波結構。它們是最常見的結構,而且與本文的內容相關。關于各種不同結構的更為完整的信息可參見文后的參考文獻。
Sallen-Key低通濾波器
廣 泛使用的Sallen-Key結構也被稱為電壓控制電壓源(VCVS)型,是MIT的林肯實驗室(參見文獻3)的R.P. Sallen和 E.L. Key于1955年提出的結構。圖10示出了一個Sallen-Key二階低通濾波器的電路原理圖。這一結構受到廣泛歡迎的一個原因是它的性能基本與運放 的性能無關,因為放大器主要作為一個緩沖器來使用。由于在基本的Sallen-Key電路中,連接成跟隨器的運放并不用于產生電壓增益,故對它的增益-帶 寬要求并不重要。這意味著,對于給定的運放帶寬而言,與運放的動態特性受到可變反饋環路特性影響的那些電路結構相比,利用這一固定的(單位)增益可以設計 出頻率更高的濾波器。通過濾波器后,信號的相位保持不變(同相結構)。圖4示出一個Q=0.707(或者,阻尼比α=1/Q=1.414—— Butterworth響應特性)的Sallen-Key低通濾波器的相移-頻率關系圖。為了簡化比較,這將作為下面所考慮的二階濾波器段的性能標準。

圖10. 2極點、Sallen-Key低通濾波器
Sallen-Key高通濾波器
通過互換決定頻率網絡上的電容和電阻的位置,可將Sallan-Key低通電路變換為高通結構,正如圖11所示的那樣,而且同樣采用單位增益的緩沖器。其相移-頻率關系示于圖5中(左軸)。這是同相、二階、高通響應。

圖11. 2極點、Sallen-Key高通濾波器
Sallen-Key濾波器的放大器增益可以通過在運放反相輸入上連接一個電阻衰減器組成的反饋網絡來提高。不過,改變增益將影響到決定頻率網絡的表達式,而且需要重新計算元件的值。該放大器的動態特性也需要更嚴格的考察,因為它們在環路中引入了增益。
多路反饋(Multiple-Feedback,MFB)低通濾波器
多路反饋濾波器是一種單放大器電路結構,反饋環路是基于運放的積分器(反相配置),如圖12所示。因此,運放參數對傳遞函數之間的影響要大于 Sallen-Key的實現方案。要產生一個高Q、高頻電路是很困難的,因為運放在高頻段的開環增益有限。一條指導方針是,運放的開環增益應該至少比諧振 (或者截止)頻率處的幅值響應高出20dB(即10倍于之),包括濾波器的Q值造成的峰值。由于Q值而造成的尖峰將具有如下的幅值
式中:H是電路的增益。

圖12. 2極點、多路反饋(MFB)、低通濾波器
該多路反饋濾波器會使信號反相。這等價于讓濾波器自身的相移增加了180°。圖4示出了相位-頻率變化關系(右軸)。這將被稱為反相、二階、低通響應。值得 注意的是,在得到給定響應特性的條件下,多路反饋結構中的最大和最小元件值之間的差異要大于Sallen-Key實現方案中的。
多路反饋(MFB)、高通濾波器
上面關于多路反饋、低通濾波器的評述也適用于高通的情形。圖13示出一個多路反饋、高通濾波器的原理圖,其理想的相移-濾波特性則示于圖5中(右軸)。這被稱為反相、二階、高通響應特性。

圖13. 2極點、多路反饋(MFB)高通濾波器
要保證這種濾波器的具體電路實現在高頻情況下的穩定性是十分困難的,因為它是在一個微分器的基礎上構建的,與所有的微分器電路所類似的是,它在更高的頻率上閉環增益更大,因此會對噪聲產生放大作用。
狀態變量型濾波器
圖14示出了一種狀態變量實現方案。該結構是最靈活和最精確的實現方案,付出的代價是電路元件的數量大大增加,其中包括了3個運放。所有3個主要的參數(增益、Q和ω0)都可以獨立調節,而且可以同時提供低通、高通和帶通輸出。該濾波器的增益也是獨立的變量。
由于狀態變量濾波器的所有參數都可以獨立調節,故其元件值的散布變得很小。而且由于溫度和元件公差所帶來的失配也可以最小化。與上面的多路反饋電路類似的是,積分器部分所使用的運放的增益帶寬積也成為電路的限制條件。

圖14. 2極點、狀態變量濾波器
其中低通濾波段的相移-頻率特性屬于一個反相的二階型響應(參見圖4,右軸),高通段電路將具有反相高通響應(參見圖5,右軸)。
雙二階(biquad)
狀 態變量濾波器的一個近親是雙二階型(參見圖15)。該電路的名稱最早是由J. Tow于1968年使用的(見參考文獻6),后來由L.C. Thomas 于1971年使用(見文獻5),其工作是基于如下的事實:傳遞函數是兩個二階項之比。該電路與狀態變量電路之間存在輕微的區別。在這一結構中,不能提供單 獨的高通輸出。不過它具有兩路低通輸出,其中一路是同相的(LOWPASS1),另一路是反相的(LOWPASS2)。

圖15. 標準的雙二階2極點電路
由于添加了第四個放大器電路,故可以實現高通、陷波(低通、標準和高通)以及全通型濾波器。圖16示出一個帶有高通電路的雙二階電路的原理圖。

圖16. 2極點雙二階濾波器(帶有高通段)
其中LOWPASS1段的相移-頻率特性屬于同相、二階、低通型響應(參見圖4的左軸)。LOWPASS2段將具有反相的二階型響應(參見圖4,右軸)。HIGHPASS段的相移特性屬于反相特性(參見圖5,右軸)。
結論
我們已經看到用于構建一個濾波器的拓撲將影響其實際的相位響應。這會是確定所用的拓撲時需要考慮的一個因素。表1對本文中討論的各種低通濾波器結構的相移范圍進行了比較。
表1 低通濾波器架構的相移范圍

類似的,表2對各種高通濾波器結構進行了比較。
表2 高通濾波器拓撲相移范圍

相移特性隨Q的變化特性
上述的2階響應的Q值都是0.707。圖17示出了Q的變化對低通濾波器的相位響應的影響(對高通濾波器的影響也 類似)。圖中繪出了Q = 0.1,0.5,0.707,1,2,5,10和20時的相位響應曲線。值得注意的是,Q值較低的情況下,在遠低于截止頻率的頻率上相位就開始發生變化。

圖17. 相移隨Q值的變化特性
雖然幅值響應隨Q值的變化并非本文的主題,但也是一個令人感興趣的問題。圖18示出了Q值在上述范圍內變化時一個2階濾波器的幅值響應特性。
當高Q電路應用于多級濾波器時,高Q電路的響應特性的尖峰現象也是令人感興趣的問題。雖然在理論上這些電路段以何種順序來級聯并無差異,而在實踐中,把Q值 較低的電路段置于高Q電路段之前將更為有利,這是為了讓尖峰現象不致于超出濾波器的動態范圍。雖然該圖是針對低通段的,但高通響應也存在類似的尖峰。

圖18. 隨著Q值的變化,2極點濾波器的幅值尖峰特性的變化
高階次濾波器
傳遞函數可以級聯起來,構成更高階次的響應特性。當濾波器響應串連起來后,其在任意頻率上的dB增益(以及衰減)和相角都相加起來。正如我們在前面指出的那 樣,多極點濾波器一般是利用級聯的二階電路段搭建的,對于奇次階濾波器,可以另外添加一段一階電路。兩個級聯的一階電路段并不能像單個二階濾波段那樣提供 很寬的Q值變化范圍。
圖19示出一個通過傳遞函數級聯所構成的4階濾波器。這里,我們可以看到,濾波器是由兩個二階段所構成的。

圖19. 傳遞函數的級聯所構成的4極點濾波器
圖 20示出了構建一個4階濾波器的3種方式對相位響應的影響。第一種結構是利用兩個Sallen-Key(SK)Butterworth段搭建的。第二種是 利用兩個多路反饋(MFB) Butterworth段搭建的。第三種是利用一個SK段和一個MFB段搭建的。但是,正如兩個級聯的一階電路段并不能構成一個二階電路段一樣,2個級聯 的2階Butterworth段并不能等效于一個4階Butterworth段。第一段Butterworth濾波器的f0為1,Q值為0.5412(α=1.8477)。第二段的f0為1,Q值為1.3065(α=0.7654)。
正如前面所提到過的那樣,SK段是同相型的,而MFB是反相型的。圖20對這3種4階電路的相移特性進行了比較。其中SK和MFB濾波器具有相同的相位響應 特性,因為兩個反相段產生了同相響應(-1×-1=+1)。利用混合拓撲結構(SK和MFB)構建的濾波器的響應特性將偏移180° (+1 ×–1 = –1)。

圖20. 不同結構的4階電路的相位響應
請注意,正如可以預料到的那樣,總的相移特性是一個2階電路段的兩倍360° vs. 180°。高通濾波器將擁有類似的相位響應,但偏移相差180°。
該級聯的思想可以用來搭建更高階次的濾波器,但是,在實踐中,超過8階的濾波器很難實現。將來的文章將對帶通、陷波(帶阻)和全通濾波器的相位關系進行考察。
推薦閱讀:


