【導讀】數字電橋就是能夠測量電感,電容,電阻,阻抗的儀器,這是一個傳統習慣的說法,最早的阻抗測量用的是真正的電橋方法,隨著現代模擬和數字技術的發展,早已經淘汰了這種測量方法,但 LCR 電橋的叫法一直沿用至今。如果是使用了微處理器的 LCR 電橋則叫 LCR 數字電橋。
數字電橋就是能夠測量電感,電容,電阻,阻抗的儀器,這是一個傳統習慣的說法,最早的阻抗測量用的是真正的電橋方法,隨著現代模擬和數字技術的發展,早已經淘汰了這種測量方法,但 LCR 電橋的叫法一直沿用至今。如果是使用了微處理器的 LCR 電橋則叫 LCR 數字電橋。一般用戶又稱這些為:LCR 測試儀、LCR 電橋、LCR 表、LCR Meter 等等。

隨著電路信號不斷“高速”、“高頻”。 我們必須知道 LRC 的實際模型,而不能簡單的看成理想模型。
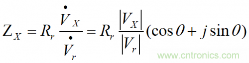
通過精確測量加載到被測件 DUT 的電壓和電流,從而精確測量出 DUT 阻抗值。從圖中可以看出,通過 DUT 的電流等于通過電阻 Rr 的電流,而通過 Rr 的電流可以通過測量 Vr 計算出來。



阻抗的測量歸結為兩個正弦信號的相位差的測量。
在 LCR 數字電橋內部,可以使用相敏檢波器(PSD)分別測出 Vx 和 Vr 對應于某一參考相量的同相量分量和正交分量,然后經模數轉換(A/D)器將其轉化為數字量,再由計算機進行復數運算,即可得到組成被測阻抗 Zx 的電阻值與電抗值。
數字電橋只是繼承了電橋傳統的稱呼。實際上它已失去傳統經典交流電橋的組成形式,而是在更高的水平上回到以歐姆定律為基礎的測量阻抗的電流表、電壓表的線路和原理中。
如何測量電壓與電流的相位差
方法一:過零比較+時間測量技術

通過用過零點出發一個電平的方式,再測量兩個過零點之間的時間差。

方法二:雙通道同步取樣技術

通過兩路 ADC 采樣后做運算處理分析。

方法三:模擬乘法器

將兩個信號進行乘法。
既然可以獲取角度值,則可以獲得阻抗值。
免責聲明:本文為轉載文章,轉載此文目的在于傳遞更多信息,版權歸原作者所有。本文所用視頻、圖片、文字如涉及作品版權問題,請聯系小編進行處理。







