【導讀】傳統的陀螺儀主要是利用角動量守恒原理,因此它主要是一個不停轉動的物體,它的轉軸指向不隨承載它的支架的旋轉而變化。
傳統的陀螺儀主要是利用角動量守恒原理,因此它主要是一個不停轉動的物體,它的轉軸指向不隨承載它的支架的旋轉而變化。
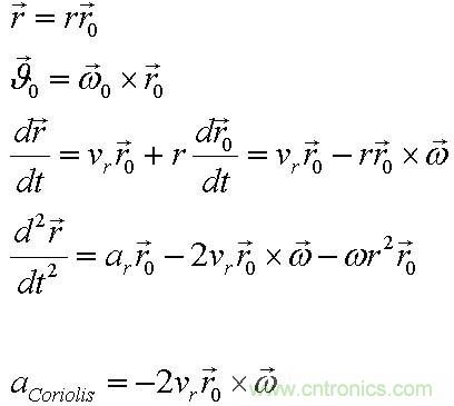
但是MEMS陀螺儀(gyroscope)的工作原理不是這樣的,因為要用微機械技術在硅片襯底上加工出一個可轉動的結構可不是一件容易的事。MEMS陀螺儀利用科里奧利力——旋轉物體在有徑向運動時所受到的切向力。下面是導出科里奧利力的方法。有力學知識的讀者應該不難理解。
在空間設立動態坐標系(圖一)。用以下方程計算加速度可以得到三項,分別來自徑向加速、科里奧利加速度和向心加速度。

圖一、動態坐標系

如果物體在圓盤上沒有徑向運動,科里奧利力就不會產生。因此,在MEMS陀螺儀的設計上,這個物體被驅動,不停地來回做徑向運動或者震蕩,與此對應的科里奧利力就是不停地在橫向來回變化,并有可能使物體在橫向作微小震蕩,相位正好與驅動力差90度。(圖二)MEMS陀螺儀通常有兩個方向的可移動電容板。徑向的電容板加震蕩電壓迫使物體作徑向運動(有點象加速度計中的自測試模式),橫向的電容板測量由于橫向科里奧利運動帶來的電容變化(就象加速度計測量加速度)。因為科里奧利力正比于角速度,所以由電容的變化可以計算出角速度。

圖二、MEMS陀螺儀的驅動和傳感
圖三是Z軸MEMS陀螺儀。它采用了閉合回路、數字輸出和傳感器芯片跟ASIC芯片分開平放連線的封裝方法。

圖三、BOSCH SMG 070原理圖





