【導讀】晶振輸出串電阻就來自于最小化設計,對于數字電路里最重要的時鐘源部分,應該特別注意保證信號完整性,最小化設計中晶振外圍電路除了電阻還要有一些其他器件。

晶振輸出串電阻就來自于最小化設計,對于數字電路里最重要的時鐘源部分,應該特別注意保證信號完整性,最小化設計中晶振外圍電路除了電阻還要有一些其他器件。

上圖中不僅考慮阻抗匹配,同時考慮電平匹配。L7為磁珠。
串電阻是為了減小反射波,避免反射波疊加引起過沖。有時,不同批次的板子特性不一樣,留個電阻位置便于調整板子狀態到最佳。如無必要串電阻,就用0歐電阻連接。反射波在大部分電路里有害,但PCI卻恰恰利用了反射波形成有效信號。
一、減少諧波,有源晶體輸出的是方波,這將引起諧波干擾,尤其是阻抗嚴重不匹配的情況下,加上電阻后,該電阻將與輸入電容構成RC積分平滑電路,將方波轉換為近似正弦波,雖然信號的完整性受到一定影響,但由于該信號還要經過后級放大、整形后才作為時鐘信號,因此,性能并不受影響,該電阻的大小需要根據輸入端的阻抗、輸入等效電容,有源晶體的輸出阻抗等因素選擇。
二、阻抗匹配,減小回波干擾及導致的信號過沖。我們知道,只要阻抗不匹配,都會產生信號反射,即回波,有源晶體的輸出阻抗通常都很低,一般在幾百歐以下,而信號源的輸入端在芯片內部結構上通常是運放的輸入端,由芯片的內部電路與外部的無源石英晶體構成諧振電路(使用有源晶體后就不需要這個晶體了),這個運放的輸出阻抗都在兆歐以上。

源端串接和接收端并接的匹配方式是不一樣的。
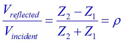
反射系數,即
X=(Z2-Z1)/(Z1+Z2)
Z1和Z2分別為傳輸線阻抗失配分界面前后的瞬時阻抗。
那么這就有3種情況
1.Z1=Z2,即阻抗相等,X=0,即沒有反射
2.Z2=無窮大,X=1,即完全正反射,很多接收端的情況
3.Z2=0,X=-1,即完全負反射,末端短路了,接地了,阻抗為0,反射信號即可以理解為返回路徑上的回流
源端串聯電阻R,和驅動端的源電阻R0,串聯后的總電阻R+R0,總電阻值等于或者最接近傳輸線阻抗Z。那么這時候信號分壓,真正進入傳輸線上傳播的只有源信號電壓的一半,到接收端時,由于接收端阻抗為無窮大,發生反射,反射系數為1,傳輸系數Y=2,即進入接收端的信號又等于驅動端的信號了。而返回源端的信號因為阻抗沒有變化,到源端時被源電阻和串聯匹配電阻吸收了,不再發生反射,這是理想情況。
單一網絡SI的主要問題就是反射,但是這又是一個比較大的話題,牽涉到阻抗匹配,拓撲結構,端接等等,所以想說的比較透徹似乎不太容易,盡量吧
一.反射產生原理

先來看上面的圖,信號在傳輸線中傳輸,從Z1到Z2的過程中,阻抗發生變化,部分信號將沿著與原傳播方向相反的方向反射,而另一部分將繼續傳播,但幅度有所改變。將瞬時阻抗發生改變的地方稱為阻抗突變,反射信號的大小由瞬時阻抗的突變程度確定,在理論分析中,我們用反射系數來表示

兩個區域的阻抗差異越大,反射信號強度就越大。例如,如果1V信號沿特性阻抗=50W的線網傳播,受到的瞬時阻抗=50W,當它進入特性阻抗為75W的區域時,反射系數為(75-50)/(75+50)= 20%,反射電壓為20%×1V= 0.2V
我們可以從理論上對上面的公式進行推導,但此處不再贅述,有興趣的話可以參考相關資料
在實際的工程中,反射不可能完全消除,SI工程師所要做的就是盡量減少反射對信號的影響,反射的根源是阻抗不匹配,所以減小反射最有效的途徑就是端接,端接方法的選擇,終端電阻的選取,都對。
根據反射系數的公式,我們可以得出三種最典型的情況:開路,短路,匹配
1.Z1=Z2,即阻抗相等,ρ=0,即沒有反射
2.Z2=無窮大,ρ=1,即完全正反射,這意味這在開路短產生與入射波大小相同,方向相反,返回源端的反射波,如果測量開路端得電壓,將得到兩個電壓之和
3.Z2=0,ρ=-1,即完全負反射,末端短路了,接地了,阻抗為0,反射信號即可以理解為返回路徑上的回流
二.反彈圖
反射理論里面最重要的莫過于Lattice Diagrams,也就是我們說的反彈圖,有些資料也叫網格圖
我們知道,當信號在傳輸線終端的阻抗不連續點被反射時,信號的一部分將反射回源頭。當反射信號到達源頭時,若源頭端阻抗不等于傳輸線阻抗就將產生二次反射。接著,若傳輸線的兩端都存在阻抗不連續,信號將在驅動線路和接收線路之間來回反射,直到最后達到直流穩態。
下面,我們來分析這種情況。如果已知驅動器的源電壓、傳輸線時延TD、信號沿途各區域的阻抗,就可以計算出每個交界面的反射,并計算出每一點的實時電壓。
例如,已知源電壓是1V,內阻是10Ω,則實際進入時延為1ns 50Ω傳輸線的電壓是1V×50/(10+50)=0.84V。這個0.84V信號就是沿傳輸線傳播的初始入射電壓。
1ns后在線末端,假設傳輸線末端開路,反射系數為1,開路端的總電壓為兩個波之和,即0.84V+0.84V=1.68V。
再經過1ns后,0.84V反射波到達源端,又一次遇到阻抗突變。源端的反射系數是(10 - 50)/(10+50)=- 0.67,這時將有0.84V×(-0.67)=-0.56V反射回線遠端。
這個新產生的波在遠端又會被反射,即-0.56V電壓將被反射。這樣,線遠端開路處將同時有四個波存在:從一次行波中得到2×0.84 V=1.68 V,從二次反射中得到的2×(-0.56)=-1.12 V,故總電壓為0.56 V。
-0.56V信號到達源端后仍然會再次反射,反射電壓是+0.38 V。在遠端新的時刻,總電壓0.56V + 0.38V + 0.38V=1.32V
把上面的計算用圖形來表示的話,就得到了我們所說的反彈圖

時域信號波形的表現如下圖:

圖中有兩個重要的特性:
1. 遠端的電壓最終逼近源電壓1V,因為該電路是開路的。這是一個必然的結果——源電壓最終是加在開路上。
2.開路處的實際電壓有時大于源電壓。源電壓僅1V,然而遠端測得的最大電壓是1.68V。高出的電壓是由于傳輸線分布參數L、C諧振產生的。
三.反射什么時候發生
那么,反射什么時候發生呢?這的確是一個值得探討的問題,前面,我們提過,反射由阻抗突變而起,而且阻抗改變的長度也有關系,下面我們通過簡單的仿真來驗證下這個問題
首先,我們在SigXplorer中搭建一個簡易的Point-Point拓撲結構,開始時對驅動端的源電阻不得而知,使用理想傳輸線,特征阻抗為50ohm,傳輸延時為0.1ns,未加任何阻抗匹配元件,仿真頻率選擇50Mhz

仿真波形如下,可以看到,在驅動端和接收端都有比較大的振鈴

從上面的仿真結果看,源端內阻抗和傳輸線阻抗不匹配的確造成的反射,產生了過沖并生成了振鈴,這時我們就猜想這一切的產生是否和傳輸線的長度有關系呢?下面修改傳輸線延時為0.01ns

這時候會發現剛才的振鈴和過沖都消失了

仿真頻率仍然為50Mhz,看下仿真波形,驚訝地看到那些毛刺不見了,接收端和驅動端的波形接近重合,似乎沒有發生一點變形。到這里有人也許會下這樣的結論,傳輸線足夠短的時候,就不發生反射了。那么,到底多短的時候才會沒有反射呢?這里直接引用Eric博士的研究結果:
當TD<上升邊的20%時,振鈴可以忽略,傳輸線不需要匹配(即線較短的電小尺寸時)

在 FR4中(前提),信號傳播速度大約為6in/ns。如果上升邊是1ns,終端沒有匹配的傳輸線最大允許長度約為6 in/ns×0.2ns=1.2 in。
一個易記的經驗法則是:為避免信號完整性出問題,沒有終端匹配的FR4傳輸線最大容許長度約為:
其中:Lenmax 沒有終端匹配的傳輸線最大允許長度,單位in
RT 信號上升邊,單位ns
經驗法則:沒有終端匹配的傳輸線最大允許長度的英寸(inch)值等于信號上升邊的納秒(ns)值。
也就是說,如果上升時間是1 ns,則沒有終端端接的傳輸線的最大長度約為1 in,如果上升時間為0.1 ns,則最大長度為0.1 in.
上面的經驗公式是一個非常有用的經驗公式,它可以用于各種不同的情況中,比如阻抗突變的長度,比如短樁線的長度對反射的影響
比如在實際的Layout中,我們希望所有傳輸線的阻抗是一樣的,但是有時候傳輸線經過BGA的時候,不可避免的需要改變線寬,所以阻抗也跟著就改變了,那么阻抗的改變對信號的影響如何呢,繼續看仿真結果


可以看到,當突變的阻抗(TL3)大于特性阻抗時,信號會有一個向上的過沖,當突變的阻抗小于特性阻抗時,信號會有一個向下的過沖, 那么,按照上面的分析,是不是如果TL3長度足夠短時,反射就可以消除呢,答案是肯定的

上面的圖為傳輸線上有25Ω短突變時的反射信號和傳輸信號。如果突變段的時延小于信號上升邊20%,就不會造成問題,從而,得到了與前面相同的經驗法則,即可允許的阻抗突變最大長度為
經驗法則:突變段的長度(in)應小于信號上升邊(ns),此時可以忽略突變的影響。
同樣,可以得到短樁線的最小長度也滿足這個經驗公式

三.點對點拓撲的端接策略
上面雖然分析了阻抗突變傳輸線長度足夠短的時候,反射可以消除,但是在現在的設計中,幾乎所有互連線的長度都大于這個值,所以能至少在一端消除反射,就可以減小振鈴噪聲

上圖是幾種常用的端接方式,第一種源端串聯端接是最常用的方法,下面來仿真一下

因為大部分時候,我們并不知道Source 芯片內部的內阻,所以,串聯電阻的值也只能通過仿真或者嘗試的辦法得到,如上圖,我們設置R2的值為0~80 Ohm,步進為20,可以得到下面的波形,過沖最高的為0ohm, 而40ohm 的波形(藍色)是最接近理想情況的。

但是加入電阻以后呢,從TL1看進去,入射電壓就等于由R2分壓的電壓,如果完美匹配的話,就是原電壓的1/2, 通過波形來看一下,R2.2 端得波形如下圖灰色的信號所示,它在一定的時間內有一個臺階,幅度為原電壓的一半,持續時間為2倍的傳輸延時,這也就是為什么在實際的測試中,在輸出端測出的波形經常會有一個臺階的原因


簡易阻抗匹配方法
在高速的設計中,阻抗的匹配與否關系到信號的質量優劣。阻抗匹配的技術可以說是豐富多樣,在此只對幾種簡單常用的端接方法進行介紹。為什么要進行阻抗匹配呢?無外乎幾種原因,如減少反射、控制信號邊沿速率、減少信號波動、一些電平信號本身需要等等。
端接阻抗匹配一般有5種方法:
1.源端串聯匹配,
2.終端并聯匹配,
3.戴維南匹配,
4.RC網絡匹配,
5.二極管匹配。
1.串聯端接匹配:

一般多在源端使用,Rs(串聯電阻) = Z0(傳輸線的特性阻抗)- R0(源阻抗)。例如:若R0為22,Z0為55Ω,則Rs應為33Ω。
優點:
①器件單一;
②抑制振鈴,減少過沖;
③適用于集總線型負載和單一負載;
④增強信號完整性,產生更小EMI。
缺點:
①當TTL,CMOS器件出現在相同網絡時,串聯匹配不是最佳選擇;
②分布式負載不是適用,因為在走線路徑的中間,電壓僅是源電壓的一半;
③接收端的反相反射仍然存在;
④影響信號上升時間并增加信號延時。
2.并聯端接匹配:

此Rt電阻值必須等于傳輸線所要求的電阻值,電阻的一端接信號,一端接地或電源。簡單的終端并聯匹配一般不用于TTL,COMS電路,因為在高邏輯狀態時,此方法需要較大的驅動電流。
優點:
①器件單一;
②適用于分布式負載;
③反射幾乎可以完全消除;
④電阻阻值易于選擇。
缺點:
①此電阻需要驅動源端的電流驅動,增加系統電路的功耗;
②降低噪聲容限。
此電阻值必須等于傳輸線所要求的電阻值。電阻的一端接信號,一端接地。簡單的終端并聯匹配一般不用于TTL,COMS電路,因為他們無法提供強大的輸出電流。
3.戴維南端接匹配:

一個電阻上拉,一個電阻下拉,通常采用 R1/R2 = 220/330的比值。戴維南等效阻抗必須等于走線的特性阻抗。對于大多數設計R1>R2,否則TTL/COMS電路將無法工作。
優點:
①適用于分布式負載;
②完全吸收發送波,消除反射。
缺點:
①增加系統電路的功耗;
②降低噪聲容限;
③使用兩個電阻,增加布局、布線難度;
④電阻值不易于選擇。
4.RC網絡匹配:

電阻與電容相連,電阻另一端接信號,電容另一端接地。電阻應等于走線特性阻抗,容值通常較小(20pF-600pF)。對差分信號只需三個原件,兩個電阻加一個電容。
優點:
①適用于分布式及總線型負載;
②完全吸收發送波,消除反射;
③具有很低的直流功率損耗。
缺點:
①會降低高速信號的速率,增加信號延時;
②RC電路的時間常數會導致電路中存在反射;
③對于高頻、高速短路要慎用;
④使用兩個器件,增加布局、布線難度。
5.二極管端接匹配:

此端接常用于差分或成對網絡,二極管常用于限制走線過程的過沖。
優點:
①預防輸入端的過沖。
缺點:
①不能減少反射。
推薦閱讀:




