- 雷達發射機中調制器的主要性能指標
- 調制器的電路分析
- 調制器的故障檢修
- 電源故障檢修
- 脈沖形成電路故障檢修
調制器是雷達發射機中的一個比較重要的組成部分,其主要作用是給雷達發射機的行波管提供正負偏電壓、燈絲電壓以及調制脈沖。由于本調制器是懸浮在-30kV電位上的,在打火或其他一些異常情況下比較容易損壞。所以,更深入理解調制器的電路,在排除故障的過程中顯得非常重要。
1調制器的主要性能指標
本調制器是由電源和脈沖形成等兩部分組成。其中電源部分的作用是把220V/400Hz電源變換成符合要求的直流電源。脈沖形成部分的作用是提供電壓、功率、脈沖寬度及脈沖波形等參數都滿足要求的視頻脈沖。
1.1電源指標
該系統的電源部分由三路電源組成,分別是燈絲電壓、負偏電壓和正偏電壓。其中燈絲電源的輸出電壓值為+9~+12V,電壓穩定度為5×10-2;負偏電源的輸出電壓值為-380~-440V,電壓穩定度為5×10-2;正偏電源的輸出電壓值為+360~+420V,電壓穩定度為5×10-2。
1.2輸出脈沖指標
本調制器的調制脈沖寬度在遠距時為1.5±0.2μs,而在近距時為1.0±0.1μs;而在調制脈沖的前后沿,其脈沖上升時間為O.1μs,脈沖下降時間為0.3μs。
2電路分析
2.1電源電路分析
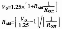
本調制器的電源使用的是LMll7和LMl38兩種三端可調整穩壓集成電路,其電路圖如圖l所示。而其輸出電壓Vo和調整電阻的計算公式如下:


需要說明的是,圖1中的穩壓器管腳電壓差Vo-Vi應在3-35V范圍內,超出范圍將不穩壓;LMll7K的額定電流為1.5A,LMl38K的額定電流為5A;這兩個器件的兩者管腳定義相同;為保證穩壓器正常工作,設計時可選用0.25W電阻ROUT,其值可選120Ω~240Ω。
2.2調制波形成電路分析
本調制器的組成原理框圖如圖2所示。圖中,當定時脈沖輸入到來時,經過緩沖器驅動后,該脈沖將分成兩路,分別提供給調制脈沖前沿開啟和后沿截止MOS管。其中前沿開啟脈沖經緩沖器驅動和三極管放大后,加到隔離升壓變壓器,以保證高速開啟管正常開啟;而后沿截止脈沖則使用后沿觸發的單穩態觸發電路形成,以保證形成的調制脈沖的寬度與定時脈沖的寬度一致。

本調制器的調制脈沖前后沿形成使用的是BUZ50B,當Ui2使得V2導通時,負偏電壓將使V1迅速截止。這樣形成的調制脈沖就能夠具有非常良好的后沿波形。其電路圖如圖3所示。

3故障檢修
3.1電源故障檢修
對于燈絲電源電路不穩壓,電壓值高于額定值的情況。其原因通常是穩壓器LMl38K損壞。而造成穩壓器損壞是因為燈絲電源正向輸出端對地打火,瞬間產生的大電流通過穩壓器內部,從而造成其損壞。筆者更換新的穩壓器LMl38K,即恢復正常。
3.2脈沖形成電路故障檢修
脈沖形成電路常見故障是無脈沖輸出。其原因一般是前后沿脈沖形成電路中的CC404l或MOS管BUZ50B損壞。筆者在更換新的器件后,隨之恢復正常。
通過本文的分析,目的是使雷達維修人員能夠更快速準確地找到并排除雷達調制器的常見故障。



