【導讀】LinkSwitch-LP 系列旨在取代手機/無繩電話、PDA、數碼相機和便攜式音頻播放器等應用中輸出功率 < 2.5 W 的低效線頻線性變壓器電源。LinkSwitch-LP 還可用作白色家電等應用中的輔助電源。
LinkSwitch-LP 系列旨在取代手機/無繩電話、PDA、數碼相機和便攜式音頻播放器等應用中輸出功率 < 2.5 W 的低效線頻線性變壓器電源。LinkSwitch-LP 還可用作白色家電等應用中的輔助電源。
LinkSwitch-LP 將高壓功率 MOSFET 開關與 ON/OFF 控制器集成在一個設備中。它完全由漏極引腳自供電,具有低 EMI 的抖動開關頻率,并且具有全面的故障保護。自動重啟可限制過載和輸出短路條件下的器件和電路耗散,而遲滯過溫保護會在熱故障期間禁用內部 MOSFET。EcoSmart 技術使設計能夠輕松實現 < 150 mW 的空載功耗,滿足能源效率要求。
LinkSwitch-LP 的設計目的是在輸出功率低于 2.5 W 時無需初級側鉗位電路,從而顯著減少組件數量和總系統成本。圖 1 顯示了基于 LinkSwitch-LP 的 2 W 電源,不帶初級側鉗位。LinkSwitch-LP 系列經過優化,當變壓器上的輔助或偏置繞組提供反饋時,可提供近似的 CV/CC 輸出特性。這非常適合取代工頻變壓器的應用,提供兼容的輸出特性,但過載、短路電流和輸入線電壓變化較小。
在無鉗位設計中使用 LinkSwitch-LP 的基本電路原理圖。
快速開始
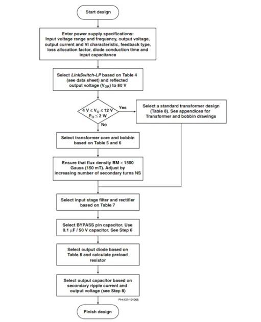
LinkSwitch-LP 反激式設計流程圖
免責聲明:本文為轉載文章,轉載此文目的在于傳遞更多信息,版權歸原作者所有。本文所用視頻、圖片、文字如涉及作品版權問題,請聯系小編進行處理。
推薦閱讀:
全志的芯片為什么能覆蓋到各行各業?專訪全志科技集團副總裁胡東明


