【導讀】學習完上一節的變壓器磁學部分的計算,接下來最后一節我們將討論關于繞組線徑的選取,其中5.7章節RCD鉗位電路的設計是未完成的,筆者至今沒有很好的計算方法,大家如果有好的方法歡迎留言探討,相互學習。
5.6繞組線徑的選取
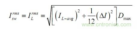
由于繞組的損耗來自銅線內阻造成的發熱,所以銅線截面積應該按照繞組的有效值電流來算。對于初級繞組,其電流波形和開關管電流波形一致,所以其有效值電流和開關管有效值電流一樣,有以下公式計算:

根據散熱條件、銅線長度的不同,通常將銅線的電流密度選取在4-10A/mm2。由于變壓器繞組通常處于密閉環境中,一般將電流密度取在4-6A/mm2。有了這一參數,我們就可以根據銅線的有效值電流選取線徑了。
5.5.3中計算得到初級線圈有效值電流為0.256A,取電流密度為5A/mm2,則所需的導線截面積為:

根據第二節的推導,我們得知次級繞組電流和初級繞組電流之間服從匝比關系,即次級繞組電流的平均值和變化量等于初級繞組電流平均值和變化量的n倍,n為初次級匝比,而連續模式下次級電流的占空比等于1減去初級電流占空比,即有如下關系成立:

將以上關系式帶入初級繞組電流有效值的計算公式中得到次級繞組電流有效值關系式如下:

前期回顧:
大牛獨創(四):反激式開關電源設計方法及參數計算
大牛獨創(三):反激式開關電源設計方法及參數計算
大牛獨創(二):反激式開關電源設計方法及參數計算
大牛獨創(一):反激式開關電源設計方法及參數計算
[page]
對于電流較大時,如果選用單股線徑較粗的銅線,由于高頻電流下的趨膚效應,會造成電流集中在導線邊緣,造成銅線的實際有效截面積減小,內阻增大,銅線損耗增大。這種情況下,一般選用兩股或兩股以上的線徑較細的銅線并繞,已減小趨膚效應的影響。采用多線并繞的另一個原因是,當銅線線徑過粗時。繞制難度會增加。實際情況下,直徑超過1mm的銅線繞制起來就比較麻煩了。
對于上述計算得到的銅線截面積,如果我們選用AWG25線(銅線直徑0.4mm,外徑約0.46mm),那么單股的銅截面積為:

那么大概需要五股這樣的銅線并繞。
5.7RCD鉗位電路的設計
開關管關斷瞬間,由于變壓器和PCB線路漏感無法耦合到次級,將在初級感應出一個很高的電壓尖峰,尖峰電壓和輸入直流電壓、次級反射電壓一起加在開關管上,為了防止尖峰電壓擊穿開關管,必須采取相應措施將這個尖峰電壓鉗位在一定的范圍內。
如圖七所示的R4、C5和D3,當開關關斷瞬間產生漏感尖峰時,尖峰電壓和次級反射電壓疊加,使得D3正偏導通,此時由于C4上的電壓不能突變;在開關閉合期間,D3是反偏的,此時存儲在C5中的部分能量通過R4釋放,因此初級側的電壓被鉗位在一個固定的值附近。
鉗位電路產生的功耗等于鉗位電容上的電壓消耗在鉗位電阻上的功耗,而電容上的電壓等于次級反射電壓和漏感能量導致的電壓變化量,于是可以得到下式:

漏感的能量全部消耗在鉗位電路中的電阻上,因此有如下關系式:(暫無)
[page]
其中VC為電容上的平均電壓,T為開關周期。加上鉗位電路后,開關管關斷瞬間及整個關斷期間開關管承受的電壓為輸入直流電壓加上電容上電壓VC(忽略鉗位電路中二極管壓降),而VC等于次級反射電壓加上漏感能量導致的電容上升高的電壓。
前面確定占空比時,我們說過,一般會為MOS管的電壓應力留20%左右的余量,對于600V的開關管,我們留下了120V的余量。鉗位電路加入后,漏感能量導致的電容上升高的電壓要占據余量的一部分。
5.8輸出二極管的選取
輸出二極管為肖特基二極管或快恢復二極管,廣義上說,肖特基二極管也屬于快恢復二極管的一種。對于所承受的反偏電壓小于100V的情況,可以選用優先選用肖特基二極管,對于所承受的反偏電壓大于100V的情況,一般選用快恢復二極管。
輸出二極管根據其通過的平均電流和反偏時承受的電壓來選取。在第一節基本反激式變換器的原理中已經得出,輸出二極管的平均電流等于負載平均電流。對于圖七中最大負載電流2A的情況,輸出二極管的最大平均整流電流理論上大于2A即可。
考慮到二極管在高速電流信號的作用下,開關損耗比較嚴重,加上第三節討論到的二極管上的出現的振蕩,會進一步加大二極管的損耗,所以在實際應用中,往往選擇最大平均整流電流比最大負載電流大數倍的輸出二極管,以減小二極管的溫升。
在第二節中討論過,開關管閉合時,輸出二極管反偏截止,此時二極管上承受的最大反偏電壓為輸出電壓加上最大初級反射電壓,如下式:

那么這里可以選取3A/40V或以上型號的肖特基二極管。圖七中所示的SK34即3A/40V的肖特基二極管。
相關閱讀:
PCB布局該這么做!150W LED驅動電源拆解學習
http://www.tzzsdz.com/power-art/80021947
由簡到難,大師教你一步一步設計開關電源
http://www.tzzsdz.com/power-art/80021972
大盤點:詳解五種開關電源PWM反饋控制模式
http://www.tzzsdz.com/power-art/80021961





