【導讀】電源管理系統的設計人員需要多功能開關控制器和穩壓器,以便解決這些電源管理挑戰。本文介紹了如何利用同步降壓DC-DC穩壓器現反相電源的設計,同時還為一些可能存在的問題提供了解決方案。
雙極性放大器、光模塊、CCD偏置和OLED顯示屏等應用通常需要通過正輸入電壓提供負輸出電壓。電源管理系統的設計人員需要多功能開關控制器和穩壓器,以便解決這些電源管理挑戰。
ADI公司的ADP2384和ADP2386開關穩壓器提供同步降壓功能。ADP2384可在高達4 A的條件下將20 V的輸入電壓降為0.6 V的輸出電壓,ADP2386則可在200 kHz至1.4 MHz的開關頻率范圍內實現高達6 A的輸出電流。
雖然ADP2384和ADP2386是針對同步降壓應用而設計,但這些器件的多功能性使得它們能夠在不增加成本、元件數量和解決方案尺寸的情況下實現反相降壓/升壓拓撲結構,進而通過正輸入電壓產生負輸出電壓。
此外,這種同步拓撲結構相對于異步拓撲結構具有一定的優勢,例如在較低的輸出電壓條件下可實現更高的效率,輕負載工作時噪聲更低。同步拓撲結構在輕負載和重負載工作條件下都會保持連續導通模式(CCM);異步拓撲結構則會進入斷續導通模式(DCM)和脈沖跳過模式(PSM)且輸出負載電流降低,其噪聲會比CCM大。
本文介紹如何在同步反相降壓/升壓拓撲結構中實施ADP2384/ADP2386,以便從正輸入電源產生負輸出電壓。此外還探討了一些問題和可能的解決方案。
降壓-升壓拓撲結構基本原理
圖1顯示了簡化的降壓/升壓拓撲結構。該拓撲結構由一個電感、兩個彼此錯相的電源開關以及輸入和輸出電容組成。圖2和圖3分別是接通時和斷開時的電流流向圖。接通時,開關S1導通,S2斷開,電流從輸入電容流出,給電感充電,輸出電容則向負載提供能量。斷開時,開關S1斷開,S2導通,電流從電感流向負載,同時給輸出電容充電。
注意,電流從接地端流向VOUT,從而產生負輸出電壓。

通過對拓撲結構應用電感伏秒平衡和電容電荷平衡的原理,可算出穩態轉換比,如方程1所示。方程2中指定了CCM下的直流電感電流值IL,方程3則顯示了電感紋波電流△IL。

利用ADP2384/ADP2386的實現方法
要利用ADP2384/ADP2386同步降壓穩壓器實現降壓/升壓拓撲結構反相電源應用,必須考慮以下一些設計限制。

降壓/升壓電路的最低輸入電壓必須高于ADP2384/ADP2386的UVLO電壓,使穩壓器工作的典型值為4.5 V。最大輸入電壓與輸出電壓絕對值的和必須小于穩壓器的最大工作輸入電壓VMAX,其典型值為20 V。此外,確保電感峰值電流小于穩壓器的OCP觸發點,以便電路能夠正常工作。
為了將同步降壓穩壓器轉換為降壓/升壓拓撲結構,電感和輸出電容須按照在降壓拓撲結構中的方式連接。注意,如圖4所示,接地點和輸出電壓點相反。

輸出電壓設置
輸出電壓通過一個外部電阻分壓器設定。可通過以下方程計算電阻值

FB偏置電流(最大0.1 A)會引起輸出電壓精度降低,要將降幅限制在0.5%(最大值)以內,應確保RBOT < 30 k。
[page]
表2列出了針對各種輸出電壓推薦的電阻分壓器。

電感選擇
電感值取決于工作頻率、輸入電壓和電感紋波電流。使用小電感可引起較快的瞬態響應,但會因為電感紋波電流較大而降低效率。使用大電感則會實現較小的紋波電流和較高的效率,但會導致瞬態響應變慢。原則上講,電感紋波電流IL通常設置為最大電感平均電流IAVG的30%??赏ㄟ^以下方程計算電感值:

峰值電感電流也是內部電源開關的峰值電流,該開關是用于確定是否產生電流限制的檢測元件。為避免過早產生電流限制,峰值電感電流不應超過OCP閾值電流,即器件的IOCP。
考慮到這一最大峰值電感電流,反相降壓/升壓拓撲結構中在600 kHz開關頻率下用于共模輸入電壓的ADP2384/ADP2386應用空間如圖5所示,其中假設峰峰值電感紋波電流為電感平均電流的40%。

電感的飽和電流必須大于峰值電感電流。對于具有快速飽和特性的鐵氧體磁芯電感,電感飽和電流額定值應該大于開關的限流閾值。這樣可以防止電感通過正常工作達到飽和點。
[page]
輸出電容選擇
注意,輸出電流在反相降壓/升壓拓撲結構中是非連續的。在接通時,隨著電感中儲存的能量增加,輸出電容向負載提供能量。在斷開時,電感同時向負載和輸出電容提供能量。
輸出電容的電容值最大的問題之一是容許的輸出電壓紋波,它取決于輸出電容的兩個參數:電容值以及輸出電容的等效串聯電阻(ESR)。以下方程提供了讓輸出電壓紋波保持在容許范圍內所需的最小電容估算值。

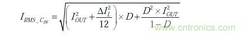
為了實現盡可能低的輸出紋波電壓,建議使用ESR值非常低的MLCC電容。所選輸出電容的均方根電流額定值應大于下式計算值:

輸入電容選擇
注意,輸入電流在反相降壓/升壓拓撲結構中也是非連續的。假設在接通時輸入電容的能量損耗所引起的輸入電壓偏差小于輸入電壓的5%,則通過下式可計算滿足此要求的最小輸入電容。

建議至少使用一個10 μF陶瓷電容,而且應該盡可能靠近PVIN引腳放置。所選輸入電容的電流均方根值應大于下式計算值。

雖然輸入電壓軌上的大多數電容都以系統接地為基準,但在輸入電壓與ADP2384/ADP2386的GND引腳之間再放置一個輸入去耦電容可以減小輸出電壓紋波,并改善瞬態響應性能,如圖6所示。

補償選擇
在反相降壓/升壓拓撲結構中應用同步降壓穩壓器以產生負輸出電壓時,功率級傳遞函數會因為不同功率電路拓撲結構而發生變化。為了實現系統的穩定閉環,應該重新設計補償網絡的值。
降壓/升壓拓撲結構中功率級的控制-輸出傳遞函數可寫成以下形式:

傳遞函數GVD(s)有一個右半平面零點(RHPZ) fZ1、一個零點fZ2和一個極點fP。零點和極點的值分別為:

[page]
使能信號電平轉換
ADP2384/ADP2386有一個EN引腳,用于使能和禁用穩壓器。然而,在反相降壓/升壓應用中,IC以負輸出電壓(而不是系統接地)為基準。如果試圖禁用穩壓器而將EN引腳連接至系統接地點,結果完全有可能是ADP2384/ADP2386仍在進行切換。
為此,可能的解決方案之一是使用NPN和PNP晶體管加上若干電阻,并且通過合理連接形成EN電平轉換電路,如圖7所示。

注意,使用電平轉換電路時,ADP2384/ADP2386的精密使能特性不復存在。如果不需要使能功能,則只需將EN引腳連接到輸入電壓,如圖4所示。
啟動前降低VOUT斜升
利用同步降壓穩壓器實現反相降壓/升壓拓撲結構時,可能出現的一個常見問題是,輸出電壓斜升并在穩壓器開始工作前變為正電壓,如圖8所示。

造成這種正輸出電壓斜升的原因是穩壓器的關斷電流,此電流從IC的PGND引腳經過低端MOSFET的體二極管,再回到系統接地點,如圖9所示。低端MOSFET的體二極管將VOUT箝位在體二極管的正向電壓水平,典型值通常在500 mV左右。

VOUT連接至穩壓器的GND引腳,該引腳實際上是UVLO等內部電路的基準點,因此GND引腳所示的正電壓會降低UVLO閾值電壓。輸入電壓非常接近穩壓器的UVLO閾值電壓(典型值為4.3 V)時,穩壓器可能無法啟動。
[page]
幾乎所有同步降壓穩壓器在用于實施本文所述的反相降壓/升壓拓撲結構時都會出現此問題,很難徹底消除。一種備選解決方案是減小反饋電阻分壓器的阻值,直到電阻分壓器兩端的壓降小于低端MOSFET體二極管的正向電壓。然后,關斷電流會經過電阻分壓器,而非體二極管,如圖10所示,接著GND引腳上的正電壓就會降為可接受的值。

圖11顯示了減小電阻分壓器阻值的結果。正VOUT電壓從500 mV降至180 mV。

這種解決方案的弊端是系統的靜態電流會增加,因為經過反饋電阻分壓器的電流會隨著分壓器阻值的減小而增大。輕負載條件下的效率也會受到影響。
結論
在反相降壓/升壓拓撲結構中實現ADP2384/ADP2386的方案可以像降壓方案一樣簡單、經濟、小巧。本設計提供了在需要使能/禁用功能時可使用的EN電平轉換電路。還探討了在反相降壓/升壓拓撲結構中應用同步降壓穩壓器時出現的VOUT斜升至正電壓的問題。同時還針對此問題提供了可能的解決方案。
系統設計人員可遵循本文中的設計方程和建議,便能確保設計出穩健且滿足所有要求的方案。
相關閱讀:
Linear 3A線性穩壓器LT3083特性詳解
http://www.tzzsdz.com/power-art/80020802
實例講解:基于LTM4620的電源穩壓器設計
http://www.tzzsdz.com/power-art/80020876
Linear專家講解:基于LT8300的隔離型反激式轉換器設計
http://www.tzzsdz.com/power-art/80020871



