中心議題:
- 蓄電池分級恒流充電電源系統結構及工作原理
- 蓄電池分級恒流充電電源控制策略
- 蓄電池分級恒流充電電源軟件設計
- 基于DSP、變參數積分分離PI 控制
根據蓄電池分級恒流充電的要求,本文給出一種基于DSP、變參數積分分離PI 控制的新型蓄電池恒流充電電源的設計方案。介紹了電源的系統結構、工作原理、控制策略及軟件設計。目前該電源已投入工程使用。
1 引 言
蓄電池正常充電時,比較好的充電方法是分級定流方式,即在充電初期用較大的恒定電流,充到一定時間或蓄電池達到一定電壓后,改用較小的恒定電流充電。同時蓄電池恒流充電電源不同于普通的直流電源,它的工作負載范圍非常寬,其輸出電壓可能從近似為零變到額定值。因此,在較寬的負載范圍內保證蓄電池充電階段的平滑過渡,以及不同階段時的恒流特性是蓄電池恒流充電電源的設計難點。這里設計的基于DSP 變參數積分分離PI 調節的兩級恒流充電電源可方便地解決這一難題。
2 蓄電池分級恒流充電電源系統結構及工作原理
圖1 示出蓄電池恒流充電電源的結構框圖。該電源可對蓄電池進行兩級恒流充電,兩階段的充電終止條件可分為充電時間原則、充電電壓原則或時間/ 電壓混合原則,并可自動完成兩階段電流轉換、充電原則轉換和相應充電參數值的調整。
裝置主電路的工作原理是首先對380 V 輸入交流市電進行EMI 濾波,采用帶十二相自耦變壓器的不控整流電路將交流電變換為直流電,從而有效地減少了輸入級AC/ DC 變換產生的諧波含量,提高了功率因數,降低了輸入變壓器的容量。利用全橋高頻逆變電路將直流電逆變為高頻雙極性PWM波,經高頻脈沖變壓器降壓,雙半波整流和輸出濾波后,最終輸出恒定的直流電流對蓄電池負載充電。

圖1 恒流充電裝置結構框圖
控制系統由DSP 及其外圍電路組成,主要完成對輸出電壓、電流信號的檢測、采樣和計算;對外部控制指令的接收和處理;對恒流充電的控制;對驅動信號的產生;對顯示數據的發送及整機的控制等功能。DSP 控制芯片采用美國TI 公司生產的數字信號處理器TMS320F240 ,其具有豐富的片內集成外設,大大減少了DSP 的外圍元器件。此外,因其高速信號處理和數字控制功能使它特別適用于需要進行復雜算法的控制系統。
3 蓄電池分級恒流充電電源控制策略
PI 控制器以其結構簡單、控制穩態精度高等特點,廣泛應用于控制領域。傳統數字PI 調節器的數學模型為:

其增量表達式為:

式中:e (k),e(k - 1)---充電電流第k和k - 1次采樣誤差值;Kp ---比例系數;KI ---積分系數
[page]
傳統PI 調節的Kp 和KI 在控制過程中為常數,而文中裝置需要對蓄電池進行分級恒流充電,兩級的充電參數值不相同且負載范圍較寬,因此為了達到較好的控制效果,需根據實際情況對控制參數進行相應的調整。在不同的輸入量區域內,選取PI參數的要求不同,其取值規則為:
①Kp 值大,系統響應快,調節精度高;但Kp 值過大時,則易造成系統超調大,甚至不穩定。因此,在誤差e(k)趨于增大時需要適當減小Kp 值,以防止超調;當誤差e (k) 趨于減小時,要增大Kp 值,以提高系統響應速度。
②KI 的作用主要是消除穩態誤差,以提高系統的調節精度。KI 值大,誤差消除能力強,但在起動過程中易出現積分飽和及調節超調量增加的現象。
為此,要求KI 在誤差大時為零,以消除積分飽和現象;進入穩態區域時,加入積分調節。這樣既保證穩態時對積分的要求,又避免了積分飽和現象。
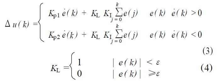
根據上述變參數PI 的控制規則,該系統采取變參數與積分分離相結合的PI 算法調節逆變橋的驅動脈寬。圖2 示出控制原理圖。其中, IG 和IF 分別為給定充電電流值和實際充電電流反饋值。其控制思想是按照充電電流誤差e(k)的正、負及上升、下降趨勢,將反饋電流一個周期的波動分為4 個區間,即區間1 (0~ t1),區間2 (t1~ t2),區間3 (t 2~t3),區間4 (t3~ t4 ).在不同的區間調用不同的PI參數,從而實現最佳PI 調節。在此基礎上又引進積分分離PI 控制算法,既保持了積分作用,又減小了超調量,使得控制性能有較大的改善。

圖2 PI 調節原理圖
其具體實現如下:
①根據系統實際情況,人為設定一閾值ε> 0 .
②當│e(k)│>ε時,即偏差值e(k)比較大時,去掉積分環節,既可避免過大的超調,又可使系統有較快的響應。
③當│e(k)│≤ε時,即偏差值e(k)進入穩態區域時,加入積分環節,可保證系統的控制精度。
④在區間1 和區間3 中,系統輸出在調節器的作用下向給定值I G 接近。為了減小系統穩態誤差,提高控制精度,采用大比例調節系數KP1使反饋電流i F 迅速接近I G.但KP1的增大會使系統的相對穩定性降低,甚至造成系統不穩定,所以在區間2和區間4 采用小比例調節系數KP2 ,以降低電流反饋值偏離給定值的速度。
通過上述理論分析,推出控制量Δu(k)的數學表達式為:

式中:ε---積分門限。
---誤差的變化量,
= e(k) - e(k - 1)。
[page]

圖3 控制系統原理方框圖
圖3 示出控制系統原理方框圖。與DSP 的T1PINT 周期同步的電流A/ D 采樣,將測得的電流平均值作為反饋值I F參予電流調節器的運算。經過變參數的積分分離PI 計算,調節驅動高頻逆變電路中開關管的驅動信號,從而調節充電電流保持恒定。
4 軟件設計
圖4 示出實現變參數積分分離PI 算法的軟件流程圖。

圖4 PI 調節軟件流程圖
為了增加整個充電系統的工作安全性,確保程序運行的準確可靠, 還利用DSP 內部的看門狗(WD) 和實時中斷(RTI) 模塊監視軟件和硬件操作,并提供可編程間隔的中斷,如果軟件進入一個不確定的循環或者CPU 出現暫時性異常時,WD 計數器溢出,以產生一個系統復位,從而避免造成嚴重的程序運行錯誤。
[page]
5 試驗結果及結論
該充電電源的輸出電壓范圍為0~42 V ,兩級充電電流均為2~36 A 可調,充電電流精度小于5 %.可對12 V 或24 V 等級的堿性或酸性蓄電池進行恒流循環和補充充電,也可對新蓄電池進行恒流充電。
圖5 示出不同充電電壓時的充電電流波形。由圖可見,在不同充電電流給定下均取得了良好的實際充電電流波形,并且當蓄電池電壓變化時,因在線的變參數PI 調節,充電電流保持恒定,因此系統具有良好的動態性能和恒流特性。目前該充電電源己在多艘大型船舶中使用。

圖5 充電電流波形( I 為充電電流值, V 為蓄電池兩端電壓值)






