中心議題:
- 電源器件的小型化及封裝創新
- DC-DC開關轉換器的功率耗散計算
- 功率與溫度的相關性
- 熱設計指南
- 計算DC-DC開關轉換器的功率耗散
- DC-DC開關轉換器的熱設計
精心選擇器件和良好的熱設計能幫助工程師優化應用于移動設備的超小型DC-DC轉換器設計,實現功率密度的增加,同時還保證可靠性。
電源器件的小型化
終端用戶需要那些能夠提供豐富功能的超小型設備,如手機、便攜式媒體播放器(PMP)或全球衛星定位系統(GPS)設備等,這就要求設計人員在啟動每個新的電路板設計時,使用更小的元器件。在數字集成電路(IC)方面,貫徹摩爾定律使元器件制造商能夠顯著減小芯片尺寸,同時還可提高器件性能和集成度。模擬IC的換代產品也提供與它們前一代產品相當或更高的性能,而印刷電路板(PCB)的占位面積更小。電源半導體制造商也在追求小型化,利用更小的占位面積提供更高的功率處理能力,從而提供盡可能最高的功率密度。
然而,追求這個目標為系統設計人員帶來了更嚴格的熱管理挑戰。電源轉換期間損耗的能量以熱力的形式釋放,而減小元器件的尺寸(與產生的熱量有關)會導致工作溫度升高。原因很簡單,裸片越小,發散熱量的能力就越低。小型化可能帶來的不利后果包括低可靠性、不可預測的器件表現以及極端情況下器件的損毀。一般來說,結溫越高,器件失效的可能性就越高。
要想在現代便攜設備中成功使用超小型電源器件,就需要密切關注元器件和電路板兩級,將器件內的發熱量降至最低,并確保能夠高效地移除熱量。
封裝創新
為了將生成的熱量減到最少,器件設計人員首先要考慮高的電源轉換效率。例如,對于負載點(PoL)穩壓器等通用型應用而言,開關轉換器就比線性轉換器更有優勢。最好的開關轉換器可以提供95%到97%區間的峰值效率。
為了能夠有效地散熱,近年來涌現了多款小外形因數的新型電源封裝。這些封裝經過優化,將裸片與外殼之間的熱阻抗降至最低,使熱量能夠高效地從器件移除。
在針對便攜應用的最新封裝中,諸如µDFN或µCSP這樣的超小型無鉛型封裝在底部集成了裸露金屬焊盤。焊盤向下焊接,將熱量直接傳導到PCB上。封裝尺寸可以是2mmx2mm或更小,這類封裝的器件能提供最大1.5 A左右的連續電流。
為了確保以盡可能大的輸出電流來實現穩定的工作并將使用壽命延至最長,在采用這些器件進行設計時,工程師需要運用合理的熱設計準則,在電路板布線等方面考慮器件廠商的建議。
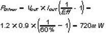
計算功率耗散
可以用等式1計算開關轉換器的功率耗散:
(等式1)
假定穩壓器產生固定的輸出電壓值,在輸出電流最大和效率最低時功率耗散最大;而在環境溫度很高和輸入電壓最低時會出現能效最低的情況。
分析DC-DC轉換器的設計可以論證如何計算最壞情況下必要的功率耗散,并了解功率耗散與封裝熱阻抗和允許的最高環境工作溫度之間有怎樣的相關性。
以安森美半導體的NCP1529 DC-DC轉換器為例,該器件采用熱增強型2mmx2mmx0.5mm µDFN-6封裝或3mmx1.5mmx1mm TSOP5封裝,適合用于電池供電設備。NCP1529的輸入電壓范圍為2.7V至5.5V,支持單個鋰離子電池或3個堿/鎳鎘/鎳氫電池供電,輸出電壓可在0.9V至3.9V之間調節,最大輸出電流為1.0A。此外,IC具有內部熱關斷電路,防止在結溫超過最大值時器件受到災難性損壞。如果溫度達到180℃,器件會被關斷,所有功率晶體管和控制電路也將被關斷。當溫度溫度低于140℃時,器件會通過軟啟動模式重新啟動。
當然,最佳的應用設計應當注意降低關斷狀況發生的潛在機率,首先要做的工作之一便是清晰地了解工作效率。
[page]
我們可以考慮這樣一款器件:提供1.2V IC內核電壓,最高流經900mA的電流。圖1顯示的是NCP1529在環境溫度為85℃、輸入電壓為2.7V、輸出電壓為1.2V的條件下不同輸出電流時的工作效率。輸出電流為0.9A時,器件的工作效率為60%。

圖1 Vin=2.7 V、Vout=1.2 V、溫度為85℃時的NCP1529能效
將這些數值代入等式1,得到下面的功率耗散最壞情況的表達式:

這個數字非常重要,可以幫助我們優化各種應用的熱性能。
功率與溫度的相關性
熱阻抗(RθJA)用于描述封裝將熱量從硅結點傳遞到外界環境中的能力。熱阻抗越低,器件就能夠越好地傳遞大量熱量。RθJA的表達單位為℃/W,因此我們為工程師提供了一個工具,可將以瓦(W)計算的電氣功率(耗散)與以攝氏度(℃)為單位的溫度關聯起來。
在最新電源器件的數據表中,往往宣稱器件的RθJA值極低。但系統設計人員如果期望在終端產品中達到預期的性能,必須密切注意電路板布線和PCB的熱設計。NCP1529的數據表顯示了器件單獨的RθJA(µDFN-6封裝,220℃/W),以及這款器件用于推薦的電路板布線時的RθJA(40℃/W)。這些數字顯示PCB設計對熱阻抗有顯著影響。事實上,遵從器件制造商的建議能夠將有效的RθJA降低5倍。
知道了RθJA和PDIP(max),就可以使用下面的等式計算出應用能夠承受的最大環境溫度:
![]()
此處,TJmax是器件能夠承受的最大結溫(NCP1529對應的溫度為150℃)。
需要注意的是,NCP1529同時提供TSOP-5和µDFN-6封裝,我們可以快速地確定每種封裝選擇對工作性能的影響。表1歸納了各種封裝的功率耗散、封裝熱阻抗和計算出的最高環境溫度。
表1顯示,要想轉換器在最高的環境溫度下令人滿意地工作,封裝選擇是要重點關注的一個事項。

表1:電氣域與熱域之間的數據轉換[page]
另一種評估封裝熱特性對應用性能影響的方法是檢查功率下降曲線。圖2顯示了NCP1529的曲線,詳述了µDFN-6和TSOP-5封裝最大環境溫度閾值與功率耗散之間的關系。

圖2 IC功率下降特性曲線
環境溫度低于70℃時,TSOP-5和µDFN-6封裝都可以耗散720mW的功率,因此能滿足這一應用的最壞情況要求。然而,µDFN-6封裝的功率耗散能力更強,與采用TSOP-5封裝的同等轉換器設計相比,能夠承受的溫度更高。
µDFN-6封裝的性能優勢歸因于其熱增強型結構,裸露的金屬焊盤顯著降低了裸片到PCB的熱阻抗。
熱設計指南
在每次計算中,TA值都假定是最佳可能的熱阻抗,也就是使用建議的電路板布線時所能達到的熱阻抗。如前文所述,電路板布線對器件熱性能以及相應的應用有極大影響。設計師在使用任何DC-DC轉換器時都應當查詢所選元件的文檔,確保通過硬件實現該設計時能夠達到預期的性能。
熱性能的提高可以可以通過以下特性來優化,譬如加設散熱通孔、將關鍵跡線(trace)寬度拓至最寬、使用對接地層或電源層的熱連接,或是指定熱性能增強的PCB材料(如絕緣金屬基板)。NCP1529的熱設計指南建議將VIN跡線加寬,并增加幾個通孔,建立多個對電源層的熱連接。此外,建議將穩壓器的接地引腳連接至PCB頂層。頂層、底層及所有接地層之間應當使用空余的通孔來連接,從而增加散熱器的有效尺寸,而且這些通孔應當離得越近越好,或者在使用µDFN-6封裝時最好位于裸露焊盤底下。µDFN-6裸露焊盤必須被正確地焊接至PCB主散熱器。
當然,設計人員也必須牢記電路板布線對轉換器電氣性能的影響。優化的熱布線應當具備輔助功能,如為大電流通道設置寬跡線,以及單獨的電源層和接地層等,將穩壓器的噪聲免疫性和環路穩定性提升至最佳。
圖3顯示了使用µDFN-6封裝的NCP1529時推薦的焊盤布線,顧及到了電氣和熱設計注意事項。紅色箭頭表示熱能由封裝流向周圍環境。

圖3 建議的NCP1529 μDFN-6電路板布線
結論
設計人員要在當今便攜產品嚴苛的空間限制下應用高性能DC-DC轉換器,必須密切注意工作條件、功率耗散、元器件性能和熱設計。與舊款的功率封裝相比,具有熱增強特性的最新小型封裝技術支持更高的功率耗散。便攜系統設計人員通過將這些最新小型封裝同板級的熱設計相結合,就能夠在小空間中視實現可靠的大電流設計。




