中心議題:
- EAS,IAR和EAR的定義及測量
- UIS條件下器件的雪崩損壞方式
- 考慮雪崩能量的應用條件
解決方案:
- 測量EAS,IAR和EAR
- 分析需考慮雪崩能量的應用條件
在功率的數據表中,通常包括單脈沖雪崩能量EAS,雪崩電流IAR,重復脈沖雪崩能量EAR等參數,而許多電子工程師在設計電源系統的過程中,很少考慮到這些參數與電源系統的應用有什么樣的聯系,如何在實際的應用中評定這些參數對其的影響,以及在哪些應用條件下需要考慮這些參數。本文將論述這些問題,同時探討功率MOSFET在非鉗位感性開關條件下的工作狀態。
EAS,IAR和EAR的定義及測量
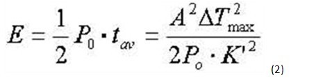
MOSFET的雪崩能量與器件的熱性能和工作狀態相關,其最終的表現就是溫度的上升,而溫度上升與功率水平和硅片封裝的熱性能相關。功率半導體對快速功率脈沖(時間為100~200μs)的熱響應可以由式1說明:

其中,A是硅片面積,K常數與硅片的熱性能相關。由式(1)得:

其中,tav是脈沖時間。當長時間在低電流下測量雪崩能量時,消耗的功率將使器件的溫度升高,器件的失效電流由其達到的峰值溫度所決定。如果器件足夠牢靠,溫度不超過最高的允許結溫,就可以維持測量。在此過程內,結溫通常從25℃增加到TJMAX,外部環境溫度恒定為25℃,電流通常設定在ID的60%。雪崩電壓VAV大約為1.3倍器件額定電壓。
雪崩能量通常在非鉗位感性開關UIS條件下測量。其中,有兩個值EAS和EAR,EAS為單脈沖雪崩能量,定義了單次雪崩狀態下器件能夠消耗的最大能量;EAR為重復脈沖雪崩能量。雪崩能量依賴于電感值和起始的電流值。
圖1為VDD去耦的EAS測量電路及波形。其中,驅動MOSFET為Q1,待測量的MOSFET為DUT,L為電感,D為續流管。待測量的MOSFET和驅動MOSFET同時導通,電源電壓VDD加在電感上,電感激磁,其電流線性上升,經導通時間tp后,電感電流達到最大值;然后待測量的MOSFET和驅動MOSFET同時關斷,由于電感的電流不能突變,在切換的瞬間,要維持原來的大小和方向,因此續流二極管D導通。

由于MOSFET的DS之間有寄生電容,因此,在D導通續流時,電感L和CDS形成諧振回路,L的電流降低使CDS上的電壓上升,直到電感的電流為0,D自然關斷,L中儲存的能量應該全部轉換到CDS中。
[page]
如果電感L為0.1mH,IAS=10A,CDS=1nF,理論上,電壓VDS為:
CDSVDS2=LIAS2 (3)
VDS=3100V
這樣高的電壓值是不可能的,那么為什么會有這樣的情況?從實際的波形上看,MOSFET的DS區域相當于一個反并聯的二極管。由于這個二極管兩端加的是反向電壓,因此處于反向工作區,隨著DS的電壓VDS增加,增加到接近于對應穩壓管的鉗位電壓也就是 V(BR)DSS時,VDS的電壓就不會再明顯的增加,而是維持在V(BR)DSS值基本不變,如圖1所示。此時,MOSFET工作于雪崩區,V(BR)DSS就是雪崩電壓,對于單次脈沖,加在MOSFET上的能量即為雪崩能量EAS:
EAS=LIAS2/2 (4)
同時,由于雪崩電壓是正溫度系數,當MOSFET內部的某些單元溫度增加,其耐壓值也增加,因此,那些溫度低的單元自動平衡,流過更多的電流以提高溫度從而提高雪崩電壓。另外,測量值依賴于雪崩電壓,而在去磁期間,雪崩電壓將隨溫度的增加而變化。
在上述公式中,有一個問題,那就是如何確定IAS?當電感確定后,是由tp來確定的嗎?事實上,對于一個MOSFET器件,要首先確定IAS。如圖1所示的電路中,電感選定后,不斷地增加電流,直到將MOSFET完全損壞,然后將此時的電流值除以1.2或1.3,即降額70%或80%,所得到的電流值即為IAS。注意到IAS和L固定后,tp也是確定的。
過去,傳統的測量EAS的電路圖和波形如圖2所示。注意到,VDS最后的電壓沒有降到0,而是VDD,也就是有部分的能量沒有轉換到雪崩能量中。

在關斷區,圖2(b)對應的三角形面積為能量,不考慮VDD,去磁電壓為VDS,實際的去磁電壓為VDS-VDD,因此雪崩能量為:

對于一些低壓的器件,VDS-VDD變得很小,引入的誤差會較大,因此限制了此測量電路的在低壓器件中的使用。
目前測量使用的電感,不同的公司有不同的標準,對于低壓的MOSFET,大多數公司開始趨向于用0.1mH的電感值。通常發現:如果電感值越大,盡管雪崩的電流值會降低,但最終測量的雪崩能量值會增加,原因在于電感增加,電流上升的速度變慢,這樣芯片就有更多的時間散熱,因此最后測量的雪崩能量值會增加。這其中存在動態熱阻和熱容的問題,以后再論述這個問題。
雪崩的損壞方式
圖3顯示了UIS工作條件下,器件雪崩損壞以及器件沒有損壞的狀態。

[page]
事實上,器件在UIS工作條件下的雪崩損壞有兩種模式:熱損壞和寄生三極管導通損壞。熱損壞就是功率MOSFET在功率脈沖的作用下,由于功耗增加導致結溫升高,結溫升高到硅片特性允許的臨界值,失效將發生。
寄生三極管導通損壞:在MOSFET內部,有一個寄生的三極管(見圖4),通常三級管的擊穿電壓通常低于MOSFET的電壓。當DS的反向電流開始流過P區后,Rp和Rc產生壓降,Rp和Rc的壓降等于三極管BJT的VBEon。由于局部單元的不一致,那些弱的單元,由于基級電流IB增加和三級管的放大作用促使局部的三極管BJT導通,從而導致失控發生。此時,柵極的電壓不再能夠關斷MOSFET。

在圖4中,Rp為源極下體內收縮區的電阻,Rc為接觸電阻,Rp和Rc隨溫度增加而增加,射極和基極的開啟電壓VBE隨溫度的增加而降低。因此,UIS的能力隨度的增加而降低。

在什么的應用條件下要考慮雪崩能量
從上面的分析就可以知道,對于那些在MOSFET的D和S極產生較大電壓的尖峰應用,就要考慮器件的雪崩能量,電壓的尖峰所集中的能量主要由電感和電流所決定,因此對于反激的應用,MOSFET關斷時會產生較大的電壓尖峰。通常的情況下,功率器件都會降額,從而留有足夠的電壓余量。但是,一些電源在輸出短路時,初級中會產生較大的電流,加上初級電感,器件就會有雪崩損壞的可能,因此在這樣的應用條件下,就要考慮器件的雪崩能量。
另外,由于一些電機的負載是感性負載,而啟動和堵轉過程中會產生極大的沖擊電流,因此也要考慮器件的雪崩能量。



