- 反轉式串聯開關電源的工作原理
- 反轉式串聯開關電源儲能電感的計算
- 反轉式串聯開關電源儲能濾波電容的計算
反轉式串聯開關電源
反轉式串聯開關電源的工作原理
圖1-7是另一種串聯式開關電源,一般稱為反轉式串聯開關電源。這種反轉式串聯開關電源與一般串聯式開關電源的區別是,這種反轉式串聯開關電源輸出的電壓是負電壓,正好與一般串聯式開關電源輸出的正電壓極性相反;并且由于儲能電感L只在開關K關斷時才向負載輸出電流,因此,在相同條件下,反轉式串聯開關電源輸出的電流比串聯式開關電源輸出的電流小一倍。
在一般電路中大部分都是使用單極性電源,但在一些特殊場合,有時需要兩組電源,其中一組為負電源。因此,選用圖1-7所示的反轉式串聯開關電源作為負電源是很方便的。
圖1-7中,Ui為輸入電源,K為控制開關,L為儲能電感,D為整流二極管,C為儲能濾波電容,R為負載電阻。當控制開關K接通的時候,輸入電源Ui開始對儲能電感L加電,流過儲能電感L的電流開始增加,同時電流在儲能電感中也要產生磁場;當控制開關K由接通轉為關斷的時候,儲能電感會產生反電動勢,使電流繼續流動,并通過整流二極管D進行整流,再經電容儲能濾波,然后向負載R提供電流輸出。控制開關K不斷地反復接通和關斷過程,在負載R上就可以得到一個負極性的電壓輸出。




圖1-8、圖1-9、圖1-10分別是控制開關K的占空比D等于0.5、< 0.5、> 0.5時,圖1-7電路中幾個關鍵點的電壓和電流波形。圖1-8-a)、圖1-9-a)、圖1-10-a)分別為控制開關K輸出電壓uo的波形;圖1-8-b)、圖1-9-b)、圖1-10-b)分別為儲能濾波電容兩端電壓uc的波形;圖1-8-c)、圖1-9-c)、圖1-10-c)分別為流過儲能電感L電流iL的波形。應該特別注意的是,圖1-8-c)、圖1-9-c)、圖1-10-c)中的電流波形按原理應該取負值,但取負值后與前面圖1-5與圖1-6對比反而覺得不好對比和分析,因此,當進行具體計算時,一定要注意電流和電壓的方向。[page]
在開關接通Ton期間,控制開關K接通,電源Ui開始對儲能電感L供電,在此期間儲能電感L兩端的電壓eL為:

對(1-19)式進行積分得:

式中iL為流過儲能電感L電流的瞬時值,t為時間變量;i(0)為的初始電流,即:控制開關K接通瞬間之前,流過儲能電感L中的電流。當開關電源工作于臨界連續電流狀態時,i(0) = 0 ,由此可以求得流過儲能電感L的最大電流為:

在開關關斷Toff期間,控制開關K關斷,儲能電感L把電流iLm轉化成反電動勢,通過整流二極管D繼續向負載R提供能量,在此期間儲能電感L兩端的電壓eL為:
式中–Uo前的負號,表示K關斷期間電感產生電動勢的方向與K接通期間電感產生電動勢的方向正好相反。對(1-22)式進行積分得:
式中i(Ton+)為控制開關K從Ton轉換到Toff的瞬間之前流過電感的電流,i(Ton+)也可以寫為i(Toff-),即:控制開關K關斷或接通瞬間,之前和之后流過電感L的電流相等。實際上(1-23)式中的i(Ton+)就是(1-21)式中的iLm,即:
因此,(1-9)式可以改寫為:

當t = Toff時iL達到最小值。其最小值為:

反轉式串聯開關電源輸出電壓一般為負脈沖的幅值。當開關電源工作于臨界連續電流狀態時,流過儲能電感的初始電流i(0)等于0(參看圖1-8-a)),即:(1-26)式中流過儲能電感電流的最小值iLX等于0。因此,由(1-21)和(1-26)式,可求得反轉式串聯開關電源輸出電壓Uo為:

由(1-27)式可以看出,反轉式串聯開關電源輸出電壓與輸入電壓與開關接通的時間成正比,與開關關斷的時間成反比。
另外,從圖1-8可以看出,由于反轉式串聯開關電源,僅當控制開關K關斷期間才產生反電動勢向負載提供能量。因此,當占空比為0.5時,輸出電流的平均值Io為流過儲能電感電流最大值的四分之一;當占空比小于0.5時,輸出電流的平均值Io小于流過儲能電感電流最大值的四分之一(圖1-9);當占空比大于0.5時,輸出電流的平均值Io大于流過儲能電感電流最大值的四分之一(圖1-10)。[page]
反轉式串聯開關電源儲能電感的計算
反轉式串聯開關電源儲能電感的計算方法與前面“串聯式開關電源儲能濾波電感的計算”方法基本相同,計算反轉式串聯開關電源中儲能電感的數值,也是從流過儲能電感的電流為臨界連續電流狀態進行分析。但須要特別注意,反轉式串聯開關電源中的儲能電感僅在控制開關K關斷期間才產生反電動勢向負載提供能量,因此,流過負載的電流比串聯式開關電源流過負載的電流小一倍,即:當占空比小于0.5時,反轉式串聯開關電源中流過負載R的電流Io只有流過儲能電感L最大電流iLm的四分之一。根據(1-21)式:

(1-21)式可以改寫為:

式中Io為流過負載的電流,當D = 0.5時,其大小等于最大電流iLm的四分之一;T為開關電源的工作周期,T正好等于2倍Ton。
由此求得:

或:

(1-29)和(1-30)式,就是計算反轉式串聯開關電源中儲能電感的公式。同理,(1-29)和(1-30)式的計算結果,只給出了計算反轉式串聯開關電源儲能濾波電感L的中間值,或平均值,對于極端情況可以在平均值的計算結果上再乘以一個大于1的系數。
當儲能電感L的值小于(1-29)式的值時,流過濾波電感L的電流上升率將增大,如果流過濾波電感L的電流iL為連續電流,輸出電壓Uo將會升高;如果為了維持濾波輸出電壓Uo不變,則必須要把控制開關K占空比D減小,但占空比D的減小將會使流過儲能電感的電流iL出現不連續,從而使濾波輸出電壓Uo的電壓紋波增大。
如果流過濾波電感L的電流iL不是連續電流,儲能電感L的減小,將會使流過儲能電感的電流iL不連續的時間變長,電源濾波輸出電壓Uo不但不會升高,反而會使反轉式串聯開關電源濾波輸出電壓Uo的電壓紋波顯著增大。
當儲能濾波電感L的值大于(1-29)式的值時,流過儲能電感L的電流上升率將減小,輸出電壓Uo將降低,但濾波輸出電壓Uo的電壓紋波顯著減小;如果為了維持電源濾波輸出電壓Uo不變,控制開關K必須要把占空比D增大,而占空比D的增大又會使流過儲能電感的電流iL不連續的時間縮短,或由電流不連續變成電流連續,從而使電源濾波輸出電壓Uo的電壓紋波降低。
反轉式串聯開關電源儲能濾波電容的計算
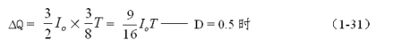
反轉式串聯開關電源儲能濾波電容參數的計算,與串聯式開關電源儲能濾波電容的計算方法基本相同。但要注意,即使是在占空比D等于0.5的情況下,濾波電容器充、放電的時間都不相等,濾波電容器充電的時間小于半個工作周期,而電容器放電的時間則大于半個工作周期,但電容器充、放電的電荷是相等的,即電容器充電時的電流大于放電時的電流。這是整流濾波電路的普遍規律。
從圖1-8可以看出,在占空比D等于0.5的情況下,電容器充電的時間為 ,電容充電電流的平均值為 ,或 ;而電容器放電的時間為 ,電容放電電流的平均值為0.9 Io。
因此有:

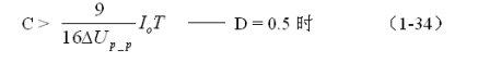
式中ΔQ為電容器充電的電荷,Io流過負載的平均電流,T為工作周期。電容充電時,電容兩端的電壓由最小值充到最大值(絕對值),相應的電壓增量為2ΔUc,由此求得電容器兩端的波紋電壓ΔUP-P為:
由此求得:

或:

(1-33)和(1-34)式,就是計算反轉式串聯開關電源儲能濾波電容的公式(D = 0.5時)。式中:Io是流過負載電流的平均值,T為開關工作周期,ΔUP-P為濾波輸出電壓的波紋,或電壓紋波。一般波紋電壓都是取電壓增量的峰-峰值,因此,當D = 0.5時,波紋電壓等于電容器充電的電壓增量,即:ΔUP-P = 2ΔUc 。
同理,(1-33)和(1-34)式的計算結果,只給出了計算反轉式串聯開關電源儲能濾波電容C的中間值,或平均值,對于極端情況可以在平均值的計算結果上再乘以一個大于1的系數。
當開關K的占空比D小于0.5時,由于流過儲能濾波電感L的電流會不連續,電容器放電的時間將遠遠大于電容器充電的時間,因此,開關電源濾波輸出電壓的紋波將顯著增大。另外,開關電源的負載一般也不是固定的,當負載電流增大的時候,開關電源濾波輸出電壓的紋波也將會增大。因此,設計開關電源的時候要留有充分的余量,實際應用中最好按(1-33)式計算結果的2倍以上來計算儲能濾波電容的參數。



