【導讀】在大多數實驗室環境中,信號發生器、頻譜分析儀等設備是單端儀器,用于測量高速差分放大器驅動器和轉換器的失真。因此,測量放大器驅動器的偶數階失真需要額外的器件,如巴倫和衰減器等,作為整體測試設置的一部分,以將單端測試儀器連接到放大器驅動器的差分輸入和輸出。
前言
在大多數實驗室環境中,信號發生器、頻譜分析儀等設備是單端儀器,用于測量高速差分放大器驅動器和轉換器的失真。因此,測量放大器驅動器的偶數階失真(例如二次諧波失真HD2,甚至階偶數階交調失真或IMD2)需要額外的器件,如巴倫和衰減器等,作為整體測試設置的一部分,以將單端測試儀器連接到放大器驅動器的差分輸入和輸出。本文通過不匹配信號的數學知識揭示了相位不平衡的重要性,并說明了相位不平衡如何導致偶數階產物的增加(即變得更糟糕!)。本文還將展示了幾種不同高性能巴倫和衰減器的權衡如何影響被測放大器的性能指標(即HD2和IMD2)。
數學背景
測試具有差分輸入的高速器件(如模數轉換器、放大器、混頻器、巴倫等)時,幅度和相位不平衡是需要理解的重要特性。
當模擬信號鏈設計使用500 MHz及以上的頻率時,必須非常小心,因為所有器件(無論有源還是無源)在頻率范圍內都有某種固有不平衡。500 MHz并不是一個奇妙的頻率點,只是基于經驗,這是大多數器件開始偏離相位平衡的地方。根據器件不同,此頻率可能比這低得多或高得多。
我們來仔細看看下面的簡單數學模型:

圖1.具有兩個信號輸入的數學模型。
考慮ADC、放大器、巴倫等或任何將信號從單端轉換為差分(或反之)的器件的輸入x(t)。信號對x1(t)和x2(t)是正弦信號,因此差分輸入信號具有如下形式:

如果不是這樣,就因為這些器件的不平衡量,ADC的偶數階失真測試結果在工作頻率范圍內可能會發生顯著變化。

ADC或任何有源器件可以簡單地建模為對稱三階傳遞函數:
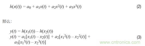
那么:

理想情況下沒有不平衡,上述簡單系統的傳遞函數可以建模如下:

這是差分電路的常見結果:理想信號的偶次諧波抵消,而奇次諧波沒有抵消。

如果回過頭比較公式9和公式12,并且假設三角恒等式運用正確,那么可以得出如下結論:二次諧波受相位不平衡影響比受幅度不平衡影響更嚴重。原因如下:對于相位不平衡,二次諧波與k1的平方成正比;再看公式12,對于幅度不平衡,二次諧波與k1和k2的平方差成正比,或看公式9。由于k1和k2大致相等,因此這種差異通常很小,特別是如果將其與平方數進行比較!
測試高速放大器
既然我們清除了障礙,接下來看一個使用案例,如圖2所示。這是一幅框圖,顯示了差分放大器實驗中常用的HD2失真測試設置。

圖2.高速放大器HD2測試設置
乍一看相當簡單,但魔鬼隱藏在細節中。圖3顯示了一組HD2測試結果,其系使用本框圖中的所有器件、差分放大器、巴倫、衰減器等得到的。這些測試證明:僅僅用不同方式翻轉巴倫方向所導致的細微相位不匹配,便能在HD2掃頻中產生不同結果。此設置中有兩個巴倫,因此通過顛倒設置一側或兩側的連接可以創建四種可能的場景。結果如圖3所示。

圖3.使用供應商1A巴倫和不同巴倫方向測試HD2性能
圖3揭示的HD2失真曲線方差量證明,需要進一步考察巴倫的性能,特別是相位和幅度不平衡。以下兩幅圖顯示了不同制造商的幾款巴倫的相位和幅度不平衡。使用網絡分析儀來測量不平衡。
圖4和圖5中的紅色曲線對應于圖3中用于采集HD2失真數據的實際巴倫。供應商1A的這款巴倫具有最高帶寬和良好的通帶平坦度,但在同樣的10 GHz頻率測試帶上,相位不平衡比其他巴倫要差。

圖4.各種巴倫的相位不平衡

圖5.各種巴倫的幅度不平衡
接下來的兩幅圖代表使用最佳巴倫對HD2失真重新測試的結果,這些巴倫分別來自供應商1B和供應商2B,具有最低相位不平衡,如圖6和圖7所示。注意,如果有更好的不平衡性能,則HD2失真方差會相應降低,如圖7所示。

圖6.使用供應商1B巴倫和不同巴倫方向重新測試HD2性能。

圖7.使用供應商2B巴倫和不同巴倫方向重新測試HD2性能
為了進一步說明相位不平衡如何直接影響偶數階失真性能,圖8顯示了與前一HD2圖相同條件下的HD3失真。請注意,所有四條曲線大致相同,符合預期。因此,如前面的數學推導示例所證明的,HD3失真對信號鏈中的不平衡不太敏感。

圖8.使用供應商2B巴倫和不同巴倫方向測試HD3性能
到目前為止,應假定輸入和輸出連接的衰減器焊盤(如圖2所示)是靜止的,且在巴倫方向測量期間無變化。下圖代表圖7所示的相同曲線,僅測試供應商2B的巴倫性能,輸入和輸出之間交換衰減器。這就產生另一組(四條)曲線,如圖9中的虛線所示。結果是我們回到了開始的地方,因為這在測試測量中表現出更多的變化。這進一步強調了差分信號對任一側的少量不匹配在高頻率下影響很大。務必詳細記錄測試條件。

圖9.僅使用供應商2B巴倫以及不同巴倫方向和衰減焊盤交換測試HD2性能
全部抵消
總之,在GHz區域開發全差分信號鏈時,所有東西都很重要,包括衰減器焊盤、巴倫、電纜、印刷電路板上的走線等。我們已經在數學上和實驗室中使用高速差分放大器作為測試平臺證明了這一點。因此,在開始責備器件或供應商之前,請在PCB布局和實驗室測試期間特別小心。
最后,您可能會問自己,多大相位不平衡是可以容忍的?例如,一個巴倫在x GHz時相位不平衡為x度,它對具體器件或系統有何影響?線性度性能是否會有一定程度的損失或dB衰減?
這是一個很難回答的問題。在理想世界里,如果信號鏈中的每件東西都完美匹配,那么就不會有偶數階失真需要擔心。其次,如果有一個經驗法則或公式來告訴我們每x°的相位不平衡會帶來x dB的線性度損失(HD2性能降低),豈不美哉。但是,這不可能。為什么?因為每個器件,無論有源、無源還是差分式,都會有某種固有的相位不匹配。根本沒有辦法在內部使IC設計實現完美的平衡,或者切割出長度絕對一致的電纜。因此,不論這些不匹配有多小,隨著系統使用的頻率越來越高,它們都會變得更加突出。




