【導讀】“電感飽和”這個我一直聽到的詞匯竟然是如此陌生——我不知道它到底意味著什么,除了電流彎曲失真,燒壞器件這些表象,在物理上“飽和”到底是什么意思?
“電感飽和”這個我一直聽到的詞匯竟然是如此陌生——我不知道它到底意味著什么,除了電流彎曲失真,燒壞器件這些表象,在物理上“飽和”到底是什么意思?
感值,耐溫,飽和電流,尺寸,價格,這五個是我們電感選型的基本坐標系,當然我們還會考慮線圈和磁心的形態,磁材,安裝焊接方式。選型過程中最惱火的無過于在數十個電感中找到合適的,卻發現其中一個參數不滿足要求,或者僅僅因為發生概率極低的峰值功率而導致的飽和電流不足而帶來過大的設計裕量。
感性的秘密
電感之所以呈現感性,即流過電感的電流會滯后于施加在電感上的電流(事實上是滯后 90 度相角),是因為楞次定律,電感就像熊孩子抓住家里的寵物,阻礙寵物的前進(電流的變化),你得給熊孩子一些壓力,他先會不大情愿,然后再讓寵物(電流)走一下(我們充分利用了這個不聽話的特性來實現我們扼流 Choke 的目的);電感又像一個彈簧,當你施加壓力的時候,它把一部分能量存在自己體內,剩下的一部分能量傳輸出去,當彈簧被壓縮到極限時,它沒辦法再存儲更多的能量了,即發生飽和,所有增加的能量都被悉數傳遞出去,電感失去了它的滯后作用。
在物理上彈簧這個例子或許更加恰當,就像下面這段我在網上找到的教科書般的答案:
電子在原子外層繞著數層軌道旋轉,每一層電子旋轉都會依愣次定律產生一微弱的磁場,每一層的磁力不同、方向也不同,但合力為零,沒有磁性。當一線圈通電流,同樣的依愣次定律產生一磁場,磁力線穿過磁性材料(鐵心),磁性材料內原子的電子旋轉軌道開始轉向,以抵消線圈產生的磁力線,線圈電流越大,越多磁性材料電子的旋轉方向改變,最后所有磁性材料電子旋轉方向都相同時,就是磁飽和。
電感磁飽和原因與理論分析
當我們在所有電子上都疊加一個共同的旋轉方向,就像整齊劃一的軍隊方陣,它的磁力就達到了最大,不能再增加磁力就被成為飽和。
這種說明足夠形象,可以定性解釋飽和的概念,但是定性并不能讓我滿足,物理的魅力遠遠不止在定性分析。
電感飽和的物理意
當我們談論電感飽和的時候,實際上是在談論鐵心飽和——空心的電感永遠不會飽和。這時候很直觀的問題就是:為什么不使用空心電感呢?
顯而易見,要提高感值可以增大分子
,減小分母
。
往往受限于體積(尤其是功率電感的線非常粗,每一匝都會大大增加體積,且提高
也會提高)、線阻(發熱)、寄生電容(尤其是 EMC 電感,寄生電容會大大削弱其高頻抑制能力)。在相同 dimensions 下,提高
幾乎是唯一途徑,空氣的磁導率幾乎等于真空中磁導
,而性能優異的磁性材
可達
,空心電感對比含有磁心的電感,其感值也會相差幾千倍。

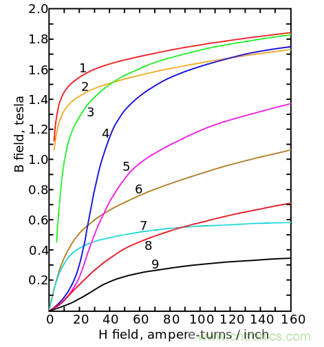
9 種鐵磁性材料表示磁飽和的磁化曲線。
1. 鋼板,2. 硅板,3. 鋼鑄件,4. 鎢鋼,5. 磁鋼,6. 鑄鐵,7. 鎳,8. 鈷,9. 磁鐵礦
“成也蕭何,敗也蕭何。”
幫助我們獲得高感值,卻也帶給我們飽和的問題。磁場強
和磁感應強度
的關系可以用磁導率表示
:磁性材料的磁導率不是一個恒定不變的量,而是取決于磁場強度
。在會發生磁飽和的金屬中,隨著通過電感的電流增加,相對磁導率
隨磁場強度
的增加達到一個最大值,然后隨著它的飽和減小,最后會變為 1,所以相應的電感
也趨向空心電感,換句話說,就是變成了導線,這就是電感飽和的物理意義。
電感不會消失,只會退化成空心電感。

因為磁飽和,鐵磁性材料的磁導率μf 會隨磁場強度增加,上升到一最大值,之后漸漸下降。
用麥克斯韋方程組計算一切!
一切電磁相關的物理量,都可以從麥克斯韋方程組得出。電感并不例外。

電感(這里只考慮自感)的物理定義式是

它描述的是在單位電流變化率
下產生反向感應電動勢的能力。
物理上最撓人的幾個事實之一就是,定義式往往不是用來設計的公式,針對后者我們還會有一個更常用的計算公式,下面來推導一下:
如果是多匝線圈還需要考慮繞組等效匝數

結合電感定義式,有
: 兩邊同時對時間積分,
: 兩邊同時對時間積分,可得

由 

免責聲明:本文為轉載文章,轉載此文目的在于傳遞更多信息,版權歸原作者所有。本文所用視頻、圖片、文字如涉及作品版權問題,請聯系小編進行處理。



