【導讀】在國家清潔能源政策支持下,天燃氣已經成為我們清潔能源體系的主體能源之一。隨著天燃氣在我國一次能源消費中的比例逐步攀升,燃氣計量行業也在快速發展。目前市場上的主流燃氣表包括傳統的機械式膜式燃氣表和電子式膜式燃氣表。因為膜式燃氣表的技術成熟、計量可靠、價格低廉等優點,這種方式一直在燃氣計量行業占據主導地位。但是膜式燃氣表由于結構復雜、易磨損、易受管道介質溫度壓力等因素影響,導致測量精度降低,小流量測量精度差。超聲波技術作為一種新型的計量方式,在日本、歐洲、美國等國家開始采用。超聲波氣表具有非接觸測量、無可動部件、無壓力損失、極高測量精度、高測量動態范圍等優勢,在燃氣表市場中嶄露頭角。結合燃氣表智能化、網絡化的趨勢,中國超聲波燃氣表市場將迎來春天。
機遇與挑戰并存。超聲波雖然是工業應用中一種成熟技術,但是要在家用燃氣表中普及,我們在設計中會面臨各種挑戰。如何確保超聲波燃氣表的穩定性、如何提高小流量的精度、如何實現低功耗等等問題,是我們設計初期就需要充分考慮的因素。換能器作為超聲波燃氣表的主要部件之一,它的一致性、頻率特性溫度漂移、長時間老化都會影響到燃氣表的穩定性和精度。超聲波技術涉及到精密信號采集和快速的數據處理,如何降低系統功耗也需要重點考慮。
TI 超聲波技術USS (Ultrasonic Sensing Solution) 源于TI Jack Kilby創新實驗室,其高集成度、先進的信號處理等優點,為超聲波氣表設計提供高精度、高穩定性、高動態范圍、低功耗的方案。下面小編會對TI USS 技術優勢、產品特點、設計資源等方面逐一介紹。
工作原理
超聲波測量流量的原理就是通過測量超聲波在流體中正向、逆向的飛行時間差(DTOF)來計算流體的流速,通過流體流速乘以管道系數,就可以得到瞬時流量。瞬時流量是一個隨時間變化的量,我們對瞬時流量進行積分就可以得到一段時間的流量。

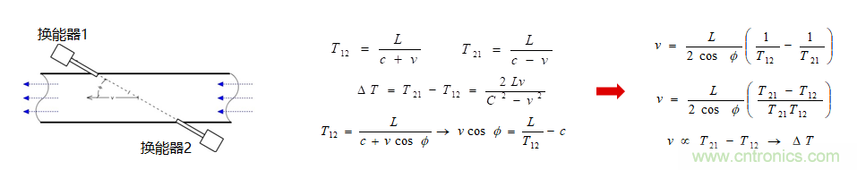
圖1
上圖1右邊是如何測量流速的公式推導。T12和T21分別為超聲波在兩個換能器之間正、反向的絕對飛行時間; L 為換能器之間的距離;v為流體的流速;c為超聲波在流體中的傳播速度。因為超聲波的傳播速度受流體的溫度、流體的彈性模量和密度這幾個因素有非常大的相關因素,所以我在公式推導過程中抵消這個參數。最后我們得到公式只跟流體流速、超聲波絕對飛行時間、時間差以及超聲波傳播方向的夾角這幾個參數相關。通常絕對飛行時間遠遠大于正、反向時間差,所以時間差測量精度決定最后的流速精度。
如何能夠準確測量出超聲波的飛行時間差呢?目前市場上常見的測量時間的方式是閾值法也叫過零點檢測法(TDC),而TI采用的技術是互相關算法(Correlation)。 下面圖2是這兩種測量方式的示意圖。

圖2
閾值法實際是閾值檢測和過零檢測技術的結合。超聲波接收端對信號幅值進行檢測,當接收到的信號超過設定閾值時,過零點檢測電路開啟,通過檢測超過閾值后的過零點時間來獲取超聲波的飛行時間。這種單點觸發方式容易受系統噪聲干擾,所以要求超聲波的幅值足夠高。我們可以通過提高換能器的電壓或者驅動電流來增加超聲波的發射幅值,副作用就是系統功耗會升高。而且換能器的老化、環境溫度變化都可引起換能器幅值的變化,進一步影響到測量精度的穩定性。干擾同時會影響過零點的波形,從而嚴重影響測量精度。
而TI USS采用的相關算法來測量相位差。通常高速ADC會以4倍于被測信號頻率對上下行兩路信號進行采樣,再將采樣到的兩路離散信號做線相關運算,線相關運算結果峰值點的橫坐標即為兩路信號之間的相位差。隨后通過高精度插值算法求得該橫坐標,進而得到兩路信號之間的時間差。
這種方式有幾個優勢:
● 相關算法相當于一個濾波器,在信號處理時可以濾除噪聲,降低線路上噪聲對采樣精度的影響
● 對超聲波信號幅值要求比閾值法的低,這樣可以采用低壓換能器,降低系統功耗。
● 穩定性好,因為相關算法是計算采樣信號的相位,信號幅值的變化對測量精度影響不大。所以在換能器老化、受環境溫度影響,信號幅● 值出現波動時,相關算法可以保持測量精度的穩定性。
● TI USS 對超聲波進行全波采樣,我們可以獲得整個超聲波的曲線。通過觀察信號包絡曲線的長期變化,我們可以判斷換能器的老化狀況,并通過軟件進行校準,確保燃氣表整個生命周期的穩定性。
系統架構
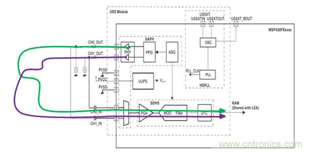
先進的算法需要依托于優化的硬件平臺,才能充分展現其性能優勢。如圖3所示,TI 超聲波燃氣表方案基于MSP430內核,同時集成超聲波傳感子系統(USS)、低功耗加速器(LEA)、計量測試接口(MTIF)等功能模塊。其中USS集成了豐富的模擬電路,包含模擬前端和ADC,為超聲波信號產生、接收、信號調理提供必要的硬件條件以及設計的靈活性。低功耗加速器LEA(Low Energy Accelerator)實際上是集成的一個DSP內核,它可以獨立對USS采集到的數據進行快速數學運算,降低數據處理時間,減小CPU的開銷,從而達到降低系統功耗。這些子系統對超聲波流量測試性能、功耗至關重要,是TI 超聲波方案差異化的技術核心。

圖3
USS子系統
USS子系統用于超聲波信號發生、接收信號調理以及AD采集。如圖4所示,USS是一個高度集成的物理結構,主要由幾個功能模塊構成,主要包含脈沖發生器PPG(Programmable Pulse Generator)、PHY、Sigma-delta高速ADC(SDHS)、高速鎖相環(HSPLL)、子系統供電模塊(UUPS)以及采樣系統時序控制模塊(ASQ)。

圖4
PPG用于產生超聲波的激勵信號。作為信號源頭,該功能模塊提供靈活的參數設置。超聲波的激勵頻率可設定,覆蓋范圍從132KHz到2.5MHz,我們可以針對不同特性的換能器設定相應的脈沖頻率。信號脈沖數量可以從單個脈沖到127個脈沖。在激勵脈沖結束時,我們也可以通過設定180度相位的反向脈沖來抵消換能器的超聲波殘余信號,最大反向脈沖最高可以到15個。激勵脈沖的極性可以通過寄存器設定,如下圖5所示。

圖5
在氣體流量設計中,PPG可以支持掃頻模式,激勵頻率可以設定在一定范圍內。這樣TI 超聲波方案可以更好支持寬頻率特性的換能器。換能器的頻率特性受環境溫度、一致性、長時間老化等因素而變化,激勵頻率可以覆蓋這些范圍,確保我們燃氣表測量的高精度和穩定性。在掃頻模式下,我們可以通過下面公式來計算頻率變化的步長。
,(HPER : High period of pulse; LPER : Low period of pulse)
PHY是USS子系統與換能器連接的物理層,實現換能器的驅動以及阻抗匹配,如下圖6。TI的USS模塊提供雙路換能驅動以及信號接收。驅動信號和接收信號通過模擬開關切換實現上、下行換能器的交換,實現一對換能器可以雙向信號傳輸。PHY的輸出驅動阻抗可以低至4?、驅動電流可以高達120mA,所以配合簡單的阻容電路,USS模塊可以直接驅動換能器,而不需要增加額外的模擬器件。
因為上、下行超聲波信號會通過兩個不同的換能器發出,換能器與USS驅動的阻抗匹配就需要考慮到。TI USS的PHY可以提供驅動、端接兩種狀態下的阻抗匹配,匹配設定參數可以保存在寄存器里面。這樣在生產的過程中,我們可以通過自動測試設備對每一個換能器進行獨立阻抗匹配,使整個系統達到最優狀態。

圖6
SDHS系統對接收到的超聲波信號進行調理和高速采樣。如圖7所示,內部包含可編程增益放大器(PGA)、12Bit Sigma-Delta ADC, 數據傳輸控制器(DTC)等功能模塊。ADC可以支持高于1.5MHz的信號帶,典型信噪比(SNR)可到達63dB。ADC的調制頻率從68MHz到80MHz,調制頻率來自高速鎖相環,可支持過采樣率范圍10~160。ADC這個功能模塊可以獨立使用采樣其他信號。ADC的最大輸入范圍是600mV,但是在實際流量測試過程中,接受到的超聲波信號可能在一個范圍內波動。這需要PGA對信號進行調理,使ADC的輸入幅值在最優采樣范圍。PGA的增益可以通過寄存器設置動態調整,可調整范圍在-6dB~30dB之間,可調步長為~1dB。這一特點可以讓我們動態優化產品性能。比如,當換能器長時間使用老化后,發射的超聲波幅值降低。在接收端觀察到ADC采樣幅值降低后,可以通過程序自動增加PGA的增益,使ADC的輸入幅值始終保持在最優采樣范圍從而避免設備老化引起系統性能變差。
ADC采樣出來的數據可以通過DTC直接傳輸到低功耗加速器(LEA)共享的RAM,方便LEA對數據進行快速處理。這個過程不需要CPU的干預,這樣可以減小系統處理時間、降低功耗。

圖7
低功耗加速器LEA
LEA 集成了一個32位的DSP核,主要用來處理基于向量的數學運算和信號處理,內部結構如下圖8。該LEA可以支持16位、32位定點數學運算,可以支持目前主流的算法包含:FFT、FIR、IIR、矩陣、向量乘法等。通過調用DSP Lib, LEA 可以支持超過50種函數運算。

圖8
采用LEA進行這些數學運算,跟傳統的MCU相比,LEA的運算效率更高、功耗更低。下面表1我們給出LEA和不同的CPU計算16位FFT所需要的時鐘周期。以Cortex-M4F的CPU為例,它要相同時間內完成LEA的運算量,它的時鐘需要提高到LEA的3倍,這樣功耗也會提高3倍。

表1
如果我們對比MSP430 CPU 和LEA性能,如圖9所示,在相同的時間32mS內采樣256次并對數據進行FFT函數運算。LEA的運算時間是700uS而MSP430 CPU需要9.64mS。在其他時間基本一致的情況下,LEA高效的數據處理可以讓系統處于低功耗模式(LPM0)的時間更長,從而大幅度降低整個系統功耗。

圖9
USS設計中心
TI USS設計中心提供可視化的設計界面,讓客戶可以快速啟動超聲產品評估和設計,調試更簡單。
在圖10的USS GUI中,我們可以直觀設置超聲波的各種參數。從基本超聲波激勵頻率、脈沖數量、上下行超聲波的時間間隔、PGA的增益等等基本參數到 USS的時鐘頻率、ADC的采樣率、超聲波的捕捉時間等關鍵參數都可以通過GUI來設定。并且通過GUI實現上位機、芯片、應用程序之間的通信。

圖10
GUI還可以以波形的形式展現測試結果,方便設計人員對參數進行優化。圖11左邊的波形為ADC采樣到的超聲波信號。可以通過調整PGA的增益,讓ADC Capture的幅值在±800左右以達到最優的ADC轉換效果。圖11右邊為GUI提供實時TOF測試結果,DToF為上下行超聲波的時間差、Absolute ToF為測試得到超聲波的絕對飛行時間以及VFR瞬時流量。波形下方的數學統計量展示了該數據的平均值、最小值、最大值和標準差。

圖11
TI 超聲方案產品及特點
TI USS 明星產品包含MSP430FR6043, MSP430FR5043 ,圖12為MSP430FR6043產品簡介。

圖12
綜合前面所述,TI超聲波方案優勢、特點總結為下面幾個方面:
● 低流量、工作溫度范圍內飛行時間差dTOF可達到±250ps以內的精度
● 在12000L/小時的流量范圍內,200:1的動態范圍下,測量精度可達到±1%
● 最大流量測試可以超過25000L/小時;可以監測最小流量< 3L/小時
● 在1秒測試一組數據的條件下,整體功耗低于20uA
● 方案平臺覆蓋面廣,可以支持家用氣表、工業氣體流量管徑范圍覆蓋15mm~1000mm
● 支持各種換能器、可以配置多種信號路徑
● 高精度、高穩定性,對于換能器一致性、長時間老化、環境溫度變化都能確保高精度
● 高集成度提高系統的可靠性
推薦閱讀:


