【導讀】讓我們一起來看看處理EMC問題中最常用的手段-RC濾波。本文介紹了濾波的概念,并詳細說明了電阻 - 電容(RC)低通濾波器的用途和特性。
讓我們一起來看看處理EMC問題中最常用的手段-RC濾波。本文介紹了濾波的概念,并詳細說明了電阻 - 電容(RC)低通濾波器的用途和特性。
1、時域和頻域
當我們在示波器上查看電信號時,會看到一條線,表示電壓隨時間的變 化。在任何特定時刻,信號只有一個電壓值。我們在示波器上看到的是信號的時域表示。
典型的示波器很直觀,但它也有一定的限制性,因為它不直接顯示信號的頻率內容。與時域表示相反,頻域表示(也稱為頻譜)通過識別同時存在的各種頻率分量來傳達關于信號的信息。


正弦波(頂部)和方波(底部)的時域表示

正弦波(頂部)和方波(底部)的頻域表示
2、什么是濾波器
濾波器是一個電路,其去除或“過濾掉”特定范圍的頻率分量。換句話說,它將信號的頻譜分離為將要通過的頻率分量和將被阻塞的頻率分量。
讓我們假設我們有一個由完美的5 kHz正弦波組成的音頻信號。我們知道時域中的正弦波是什么樣的,在頻域中我們只能看到5 kHz的頻率“尖峰”。現在讓我們假設我們激活一個500 kHz振蕩器,將高頻噪聲引入音頻信號。在示波器上看到的信號仍然只是一個電壓序列,每個時刻有一個值,但信號看起來會有所不同,因為它的時域變化現在必須反映5 kHz正弦波和高頻噪音波動。然而,在頻域中,正弦波和噪聲是在該一個信號中同時存在的單獨的頻率分量。正弦波和噪聲占據了信號頻域表示的不同部分(如下圖所示),這意味著我們可以通過將信號引導通過低頻并阻擋高頻的電路來濾除噪聲。

3、濾波器的類型
如果濾波器通過低頻并阻止高頻,則稱為低通濾波器。如果它阻擋低頻并通過高頻,它就是一個高通濾波器。還有帶通濾波器,其僅通過相對窄的頻率范圍,以及帶阻濾波器,其僅阻擋相對窄的頻率范圍。

還可以根據用于實現電路的組件類型對濾波器進行分類。無源濾波器使用電阻、電容、電感;這些組件不具備提供放大的能力,因此無源濾波器只能維持或減小輸入信號的幅度。另一方面,有源濾波器既可以濾波信號又可以應用增益,因為它包括有源元件,如晶體管或運算放大器。
基于流行的Sallen-Key拓撲結構的有源低通濾波器

4、RC低通濾波器
為了創建無源低通濾波器,我們需要將電阻元件與電抗元件組合在一起。換句話說,我們需要一個由電阻器和電容器或電感器組成的電路。從理論上講,電阻 - 電感(RL)低通拓撲在濾波能力方面與電阻 - 電容(RC)低通拓撲相當。但實際上,電阻 - 電容版本更為常見,因此本文的其余部分將重點介紹RC低通濾波器。

RC低通濾波器
如圖所示,通過將一個電阻與信號路徑串聯,并將一個電容與負載并聯, 可以產生RC低通響應。在圖中,負載是單個組件,但在實際電路中,它可能更復雜,例如模擬到數字轉換器,放大器或示波器的輸入級,用于測量濾波器的響應。
如果我們認識到電阻器和電容器形成與頻率相關的分壓器,我們可以直觀地分析RC低通拓撲的濾波動作。

重新繪制RC低通濾波器,使其看起來像分壓器
當輸入信號的頻率低時,電容器的阻抗相對于電阻器的阻抗高; 因此,大部分輸入電壓在電容器上(和負載兩端,與電容器并聯)下降。當輸入頻率較高時,電容器的阻抗相對于電阻器的阻抗較低,這意味著電阻器上的電壓降低,并且較少的電壓傳輸到負載。因此,低頻通過并且高頻被阻擋。
RC低通功能的這種定性解釋是重要的第一步,但是當我們需要實際設計電路時它并不是很有用,因為術語“高頻”和“低頻”非常模糊。工程師需要創建通過并阻止特定頻率的電路。例如,在上述音頻系統中,我們希望保留5kHz信號并抑制500kHz信號。這意味著我們需要一個過濾器,從5 kHz到500 kHz之間的傳遞過渡到阻塞。
5、截止頻率
濾波器不會引起顯著衰減的頻率范圍稱為通帶,濾波器確實導致顯著衰減的頻率范圍稱為阻帶。模擬濾波器,例如RC低通濾波器,總是從通帶逐漸過渡到阻帶。這意味著無法識別濾波器停止傳遞信號并開始阻塞信號的一個頻率。然而,工程師需要一種方便,簡潔地總結濾波器頻率響應的方法,這就是截止頻率概念發揮作用的地方。
當我們查看RC濾波器的頻率響應圖時,會注意到術語“截止頻率”不是很準確。信號光譜被“切割”成兩半的圖像,其中一個被保留而其中一個被丟棄, 不適用,因為隨著頻率從截止點下方移動到截止值以上,衰減逐漸增加。
RC低通濾波器的截止頻率實際上是輸入信號幅度降低3dB的頻率(選擇該值是因為幅度降低3dB對應于功率降低50%)。因此,截止頻率也稱為-3 dB頻率,實際上該名稱更準確且信息量更大。術語帶寬是指濾波器通帶的寬度,在低通濾波器的情況下,帶寬等于-3 dB頻率(如下圖所示)。

該圖表示RC低通濾波器的頻率響應的一般特性。帶寬等于-3 dB頻率
如上所述,RC濾波器的低通行為是由電阻器的頻率無關阻抗與電容器的頻率相關阻抗之間的相互作用引起的。為了確定濾波器頻率響應的細節,我們需要在數學上分析電阻(R)和電容(C)之間的關系,我們還可以改變這些值,以設計滿足精確規格的濾波器。RC低通濾波器的截止頻率(f C) 計算如下:

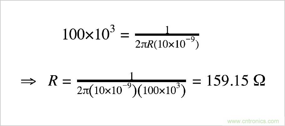
我們來看一個簡單的設計實例。電容值比電阻值更具限制性,因此我們將從常見的電容值(例如10 nF)開始,然后我們將使用該公式來確定所需的電阻值。目標是設計一個濾波器,它將保留5 kHz音頻波形并抑制500 kHz 噪聲波形。我們將嘗試100 kHz的截止頻率,稍后在文章中我們將更仔細地分析此濾波器對兩個頻率分量的影響。

因此,160Ω電阻與10 nF電容相結合,將為我們提供一個非常接近所需頻率響應的濾波器。
免責聲明:本文為轉載文章,轉載此文目的在于傳遞更多信息,版權歸原作者所有。本文所用視頻、圖片、文字如涉及作品版權問題,請聯系小編進行處理。



