【導讀】2016年可畏是各品牌手機的發布元年,IPhone、華為、小米、oppo可謂是百花爭艷,各手機廠商紛紛以“超大容量電池”、“急速充電”等關鍵詞來吸引眼球,唯獨iphone還是默默沿用著傳統充電模式,依舊不支持快充,為何IPhone如此自信?難道它的黑科技也能在5W輸出下提升充電效率么,本文一探究竟。
本文將采用專業的功率測量儀器對整個的手機充電過程進行充電檢測,以此來分析Iphone 手機的整體測試性能。如有不足之處歡迎留言指出。
首先準備好測試材料,先找一臺測試儀器,小編在實驗室找了很久終于協調到一臺PA8000認證級功率分析儀,今天他在這里只是配角。

主角在這里,一只“空血”的Iphone 7PLUS以及原裝充電器。

測試步驟很簡單,只需要使用PA8000認證級功率分析儀同時檢測充電器的輸入端及輸出端,然后通過機器自動算出轉換效率以及功率積分即可。

這里使用了一個小工具——接線盒,使用起來還是很方便的,只需要接到接線板上即可完成測試,大大簡化接線。

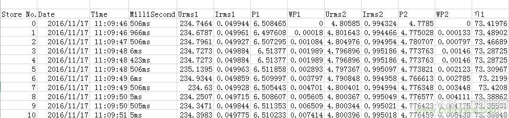
測試開始,開機之后Iphone充電器表現不錯,以最大電流1A進行持續輸出,但筆者注意到電壓卻一直停留在4.8V左右,達不到標稱的5W輸出功率。整體的轉換效率在74%左右,根據美國能源局提出的DOE VI 的六級能效標準外置電源的平均轉換效率在輸出功率在5W時應該達到73.62%(計算得出),符合DOE VI 的六級能效標準。

接下來的操作就比較簡單了,使用功率分析儀的積分功能,對整體的測試數據進行積分,并進行實時記錄。

測試完畢后將全部的測試數據描繪成曲線,如下圖:

總體來看,把一個Iphone7 Plus從空電沖到滿電需要3.5個小時,還是有點久的,整個充電積分14.94Wh,可見它并沒有什么黑科技,充電曲線也是中規中舉,大家可以通過此曲線在合理時間內對手機進行充電,將大大提高充電體驗。
推薦閱讀:




