- 半導體激光管驅動電源設計與實現
- 增大電感、減小ton都可以減小紋波
- 采用了電流負反饋電路
半導體激光管(LD)和普通二極管采用不同工藝,但電壓和電流特性基本相同。在工作點時,小電壓變化會導致激光管電流變化較大。此外電流紋波過大也會使得激光器輸出不穩定。二極管激光器對它的驅動電源有十分嚴格的要求;輸出的直流電流要高、電流穩定及低紋波系數、高功率因數等。隨著激光器的輸出功率不斷加大,需要高性能大電流的穩流電源來驅動。為了保證半導體激光器正常工作,需要對其驅動電源進行合理設計。并且隨著高頻、低開關阻抗的MOSFET技術的發展,采用以MOSFET為核心的開關電源出現,開關電源在輸出大電流時,紋波過大的問題得到了解決。
由于大電流激光二極管價格昂貴,而且很容易受到過電壓,過電流損傷,所以高功率僅僅有大電流開關模塊還不能滿足高功率二極管激光器的要求,還需要相應的保護電路。要保證電壓、電流不要過沖。因此,需要提出一整套切實可行的技術措施,來滿足高功率二極管激光器的需要。
1 系統構成
裝置輸入電壓為24 V,輸出最大電流為20 A,根據串聯激光管的數量輸出不同電壓。如果采用交流供電,前端應該采用AC/DC作相應的變換。該裝置主要部分為同步DC/DC變換器,其原理圖如圖1所示。

Vin為輸入電壓,VM1、VM2為MOSFET,VM1導通寬度決定輸出電壓大小,快恢復二極管和VM2共同續流電路,整流管的導通損耗占據最主要的部分,因此它的選擇至關重要,試驗中選用通態電阻很低的M0SFET。電感、電容組成濾波電路。測量電阻兩端電壓與給定值比較后,通過脈沖發生器產生相應的脈寬,保持負載電流穩定。VM1關斷,快恢復二極管工作,快恢復二極管通態損耗大,VM2接著開通續流,減少系統損耗。
2 工作原理
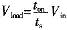
VM1導通ton時,可得:

二極管消耗的功率為P=VtdI0。一般快恢復二極管壓降0.4 V,當電流20 A時,二極管消耗功率為0.8 W。如采用MOSFET,則消耗的功率將小很多。本實驗采用威世半導體公司的60 A的MOSFET,其導通等效電阻為0.0022 Ω。當電流為20 A時,消耗功率約為0.088 W。
由電流紋波公式可知,增大電感、減小ton都可以減小紋波。為了不提高電感容量,實驗中采用200 kHz的工作頻率,其中電感選用4.8-μH,根據公式可得激光管壓降2 V時紋波電流約為1 000 mA。
[page]
系統采用了電流負反饋電路,以適應激光二極管的要求。當負載變化,電流略大于給定電流時,減小ton寬度,電壓降低。電流略小于給定電流時,增加ton寬度,這樣可以維持電流穩定。圖3所示為脈沖發生器結構。

圖3中,R1,R2為電壓測量電阻,Rc為電流測量電阻。調節R1可以設定最大輸出電壓。Rc限制最大輸出電流。當最大電壓或電流其中一個達到給定值,則脈沖寬度最大。這樣可以保證負載正常工作。

實驗曲線如圖5所示,實驗數據為輸入電壓12 V,輸出電壓2 V左右,測量電阻0.0025 Ω,最大輸出電流20 A。

實驗中用50 A的2個二極管串聯作為負載,輸入電壓12 V時,不同電流下輸出及效率如表1所示。





