由于變壓器鐵芯存在磁矯頑力,當磁場反復對變壓器鐵芯進行磁化時,總需要額外地有一部分磁場能量被用來克服磁矯頑力和消除剩余磁通,這一部分用來克服磁矯頑力和消除剩余磁通的磁場能量,對于變壓器鐵芯來說,是不起增強磁通密度作用的,它屬于一種損耗;本文用回路曲線模型來分析計量這種損耗。
由于變壓器鐵芯存在磁矯頑力,當勵磁電流產生的磁場對變壓器鐵芯進行磁化結束以后,磁通密度不能跟隨著磁場強度下降到零;即:勵磁電流或磁場強度從最大值下降到零,但磁通密度卻不是跟隨磁場強度下降到零,而是停留在一個被稱為“剩磁”的剩余磁通密度Br位置上。
因此,當交流磁場反復對變壓器鐵芯進行磁化時,總需要額外地有一部分磁場能量被用來克服磁矯頑力和消除剩余磁通,這一部分用來克服磁矯頑力和消除剩余磁通的磁場能量,對于變壓器鐵芯來說,是不起增強磁通密度作用的,它屬于一種損耗;因為磁感應強度的變化總是要落后于磁場強度一個相位,因此把這種損耗稱為磁滯損耗。
為了簡單,我們用變壓器鐵芯的理想磁化曲線和等效磁化曲線的概念來對變壓器鐵芯的磁滯損耗進行分析。
在圖2-11中,直線d-o-a是變壓器鐵芯的理想磁化曲線;當輸入電壓為交流的時候,磁通密度是從負的最大值- Bm到正的最大值Bm之間來回變化。
當輸入第一個交流脈沖的正半周電壓的時候,磁通密度將沿著o-a理想磁化曲線上升,并到達a點,對應的磁場強度為Hm,磁通密度為Bm ;當第一個交流脈沖電壓輸入結束的時候,磁場強度為0,但磁通密度不是沿著原來的理想磁化曲線o-a返回到0,而是沿著另一條新的磁化曲線a-b下降到b點,即剩余磁通密度Br處。
顯然磁化曲線a-b是一條新的等效磁化曲線,因為,最大磁通密度增量為Bm,最大磁場強度增量為-Hc與Hm的代數和,等效磁化曲線的斜率等于最大磁通密度增量與最大磁場強度增量之比。

當第一個交流脈沖的正半周電壓結束,負半周電壓開始的時候,磁通密度將沿著b-c等效磁化曲線繼續下降,并到達c點,對應的磁場強度為-Hc,磁通密度為0 ;而后,負半周電壓的幅度保持不變,但磁場強度在-Hc的基礎上繼續向負的方向增大,最后達到負的最大值-Hm,對應的磁通密度則沿著等效磁化曲線c-d從0增大到-Bm。
[page]
當第一個交流脈沖的負半周電壓結束的時候,磁場強度為0,但磁通密度并不等于0,而是沿著另一條新的等效磁化曲線d-e下降到e點,即剩余磁通密度-Br處。待輸入脈沖的正半周電壓到來時,磁通密度再由-Br沿著等效磁化曲線e-f上升到0,然后繼續沿著等效磁化曲線f-a上升到達a點,對應的磁場強度為Hm,磁通密度為Bm。
由圖2-11可以看出,由多條等效磁化曲線組成的磁滯回路曲線a-b-c-d-e-f-a(虛線)與理想的磁化曲線d-o-a(實線)相比,是走了很多彎路的。顯然由虛線a-b-c-d-e-f-a圈起來的磁滯回路曲線的面積越大,等效磁化曲線所走的彎路就越多。而這些彎路是要損耗電磁能量的,這種損耗就是磁滯損耗。
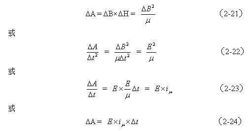
現在我們進一步分析由虛線a-b-c-d-e-f-a圈起來的面積到底代表什么東西。首先,我們從a-b-c-d-e-f-a封閉曲線中取一小塊面積ΔA進行分析,如圖2-12所示。

在圖2-12中,ΔA是在變壓器鐵芯磁滯回線中任意取出來進行分析的面積,ΔA面積的取值可以任意的小,以保證在此面積中變壓器鐵芯的導磁率可以看成是一個常數。與ΔA面積對應的有磁感應強度增量ΔB和磁場強度增量ΔH以及時間增量Δt。根據磁場強度、磁通密度的定義,以及電磁感應的定理,可以列出下面關系試關系式:

[page]
在實際電路中,磁場強度是由勵磁電流通過變壓器初級線圈產生的,所謂的勵磁電流,就是讓變壓器鐵芯進行充磁和消磁的電流。
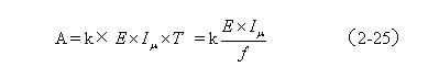
由(2-24)式很容易看出,虛線a-b-c-d-e-f-a圈起來的面積所對應的就是磁滯損耗的能量;即:磁滯損耗能量的大小與磁滯回線的面積成正比。
由于輸入交流脈沖在一個周期內,變壓器鐵芯中的磁通密度正好沿著磁滯回線跑了一圈,因此,我們可以在一個周期的時間范圍內對(2-24)進行積分,即可求得變壓器鐵芯在一個周期內的磁滯損耗為:

(2-25)式中,A為一個周期內變壓器鐵芯的磁滯損耗,單位是焦耳;E為單位長度導線所產生的感應電動勢,單位為伏; 為勵磁電流的平均值,單位為安培;T為輸入交流電壓的周期,單位為秒,f為脈沖頻率,或開關電源的工作頻率,單位為赫芝;k為比例系數,它是一個與選用單位制和變壓器鐵芯面積、體積以及初級線圈匝數等參數相關的常量。在(2-21)、(2-22)、(2-23)、(2-24)式中,沒有比例系數k,是為了使問題簡單,便于分析。
這里順便指出,(2-25)式中,我們直接把A用來表示磁滯損耗能量,是因為磁滯損耗能量的大小與磁滯回線的面積成正比,但不是表示磁滯損耗的能量就等于面積A,兩者是有本質區別的。因此,比例系數k在這里非常重要,通過它,可以把互相對應的關系用等號連接起來。
把(2-25)式兩邊乘以頻率f,即可得到磁滯損耗的功率表達式:

由(2-21)、(2-22)、(2-23)、(2-24)、(2-25)式我們又可以看出:磁滯損耗的大小與磁通密度增量的平方成正比,與導磁率成反比。由于磁滯損耗的大小與磁通密度增量的平方成正比,這也意味著磁滯損耗的大小與輸入電壓的平方成正比;因為,輸入電壓正比于磁通密度變化速率ΔB/Δt。另外從(2-26)式還可以看出,磁滯損耗與頻率成正比。
從(2-23)、(2-24)、(2-25)、(2-26)式可以看出,開關變壓器的磁滯損耗主要是由勵磁電流產生的,但并不是所有流過變壓器初級線圈的電流都是屬于勵磁電流,或所有的勵磁電流都會轉化為磁滯損耗;這一點后面還會進一步說明。
由(2-21)、(2-22)、(2-23)、(2-24)、(2-25)、(2-26)式可知,如要計算變壓器鐵芯的磁滯損耗,只需要計算變壓器鐵芯磁滯回線面積的大小,然后通過它們的對應關系,就可以求出變壓器鐵芯的磁滯損耗。
由于各種變壓器鐵芯磁滯回線的形狀各不相同,并且磁滯回線的面積與磁通密度增量以及導磁率和工作頻率或脈沖寬度均相關,要精確計算各種變壓器鐵芯磁滯回線的面積是比較困難的;因此,在實際應用中我們可以采用比較簡單的平均值估算方法。
[page]
為此,我們把圖2-6改畫成圖2-13,以便用來估算變壓器鐵芯的磁滯回線面積。在圖2-13中,如果我們把磁滯回線面積定義為面積S,把面積:Br×Hc×4定義為面積S0(圖2-13中陰影部分),Bm×Hm×2定義為面積S1,那么就有:


上式中A為一個周期內變壓器鐵芯的磁滯損耗,S為變壓器鐵芯的磁滯回線面積,k為比例系數,T為輸入交流電壓的周期。
由圖2-13我們可以看出,當Hm或Bm很小時,磁滯回線面積S的值將往面積S0方面靠攏;反之,當Hm或Bm增大時,磁滯回線面積S的值將往面積S1方面靠攏。通過磁滯回線測試,如果知道S是向S0或S1方面靠攏,則還可以采用(2-28)式的估值方法,對磁滯回線面積S再估算一次。
例如,已知磁滯回線面積S的值將往面積S1方面靠攏,即最大磁通密度Bm以及磁通密度增量ΔB均取得比較大;那么我們可以用(2-28)式先對磁滯回線面積S的值估算一次,結果記為S3 ;顯然的值小于磁滯回線面積S的值,即磁滯回線面積S的值必然會落在S3與S1的值之間;因此,我們可以取S3與S1的中間值來作為磁滯回線面積S的值。

(2-30)式主要用于磁滯回線面積S的值小于第一次估算結果的情況;(2-31)式主要用于磁滯回線面積S的值大于第一次估算結果的情況。顯然用(2-30)和(2-31)估算出來的結果要比用(2-28)估算出來的結果更精確。
從圖2-13可以看出,利用(2-28)或(2-30)和(2-31)式來計算變壓器鐵芯的磁滯損耗,是完全可以滿足工程計算要求的。不過在實際應用中,我們還需要對磁滯回線以及變壓器鐵芯很多參數進行測試后,才能確定比例系數k,并且對應不同的磁通密度增量,比例系數k的值也不一樣;關于著一點,請參考下一節《開關電源變壓器鐵芯磁滯回線測量》的內容。因此,上面分析結果只供對變壓器進行設計時參考。
通過上面分析可知,變壓器鐵芯的磁滯損耗,實際上就是流過變壓器初級線圈的勵磁電流在鐵芯中產生的磁場對鐵芯進行充磁和消磁時所產生的能耗;但并不是所有流過變壓器初級線圈的電流都是屬于勵磁電流,或所有的勵磁電流都會轉化為磁滯損耗;因為,磁感應強度(或輸入電壓)與磁場強度(或勵磁電流)之間存在一個相位角(參看圖2-7),另外,還有一部分勵磁電流的能量要轉化為反電動勢輸出;例如,反激式輸出就是這樣。
磁滯損耗和后面介紹的渦流損耗是變壓器鐵芯的主要損耗,這兩種損耗是可以通過實驗的方法來進行測量的,但要把兩種損耗嚴格分開,在技術上還是有點難度。[page]

順便指出,上面主要是針對雙激式開關變壓器鐵芯的磁滯損耗進行原理分析,對于單激式開關變壓器,由于其磁化曲線只限于磁通密度和磁場強度均為正的一側,磁通密度變化的范圍基本上都在Br和Bm之間,相對來說比較小;當輸入直流脈沖電壓的幅度和寬度不變時,Br和Bm的相對位置是基本不變的,其磁化曲線與等效磁化曲線(勵磁電流的負載曲線)基本重合,因此,磁滯回線的面積接近等于0,變壓器鐵芯的磁滯損耗也接近等于0,如圖2-14所示。
只有當輸入直流脈沖電壓的幅度和寬度不斷地改變時,Br和Bm的相對位置才會跟隨輸入電壓不斷地變化,此時,其磁化曲線與等效磁化曲線(勵磁電流的負載曲線)不再重合,磁化曲線會不停地上下跳動,磁滯回線的面積也在不停地改變,因此,變壓器鐵芯的磁滯損耗不能認為等于0。
在圖2-14中,虛線B或0-B-B為變壓器鐵芯的初始磁化曲線;當輸入直流脈沖的幅度比較低,或脈沖寬度比較窄時,磁通密度由Br1沿著磁化曲線a-b上升,到達Bm1后脈沖結束,然后磁通密度由Bm1沿著磁化曲線b-a下降回到Br1,虛線1是其等效磁化曲線。
當輸入直流脈沖的幅度比較高,或脈沖寬度比較寬時,磁通密度由Br2沿著磁化曲線c-d上升,到達Bm2后脈沖結束,然后磁通密度由Bm2沿著磁化曲線d-c下降回到Br2,虛線2是另一條等效磁化曲線。
因此,當輸入直流脈沖電壓的幅度和寬度不斷地改變時,變壓器鐵芯的磁通密度就會在1和2兩條等效磁化曲線之間對應的磁化曲線上來回變化。
顯然,磁通密度從等效磁化曲線1跳到等效磁化曲線2是需要能量的。如圖2-14中,假設磁通密度由Br1上升到Bm2,但磁通密度下降時不會返回到Br1,而只能返回到Br2。因此,磁通密度上升與下降的幅度不一樣,產生的這個差值就是磁滯損耗。不過,單激式開關變壓器鐵芯的磁滯損耗相對于雙激式開關變壓器鐵芯磁滯損耗來說,還是很小的,甚至可以忽略。
單激式開關變壓器鐵芯的磁滯損耗小的原因,是因為流過變壓器初級線圈勵磁電流的方向不會來回改變,并且當控制開關斷開時,流過變壓器初級線圈中的勵磁電流也被切斷,原來勵磁電流存儲于變壓器鐵芯中的磁能量會轉換成反電動勢向負載提供輸出;
而雙激式開關變壓器則相反,流過變壓器初級線圈勵磁電流的方向會來回改變,原勵磁電流存儲于變壓器鐵芯中的磁場能量將被新勵磁電流產生的磁場強制退磁,它不會向負載提供能量輸出,而只能轉化成熱能被損耗在變壓器鐵芯之中。
磁滯損耗在一般變壓器鐵芯中會引起磁致伸縮,使變壓器鐵芯產生機械變形和產生振動,并發出聲音;有時這種聲音還很令人討厭,特別是產生調制交流聲的時候;解決的辦法只能改變開關電源的工作頻率和控制信號調制包絡的頻率;如果磁致伸縮的頻率與變壓器鐵芯機械振動(自由震蕩)的頻率相同,可能還會產生共振,會對變壓器造成損傷,這種情況要嚴格防止發生。





