- PCB的電磁兼容設計
- 使用低功耗的芯片
- 使用低速芯片降低電路的頻率
- 利用緩沖器減小差模電流
線路板的輻射主要產生于PCB走線和“I/O”電纜。前面介紹了共模和差模電流,從這兩種電流的模式出發,可把輻射分為差模輻射和共模輻射兩種。
•差模輻射:電路工作電流在信號環路中流動會產生電磁輻射。而流動的電流是差模,因此產生的輻射稱為差模輻射;
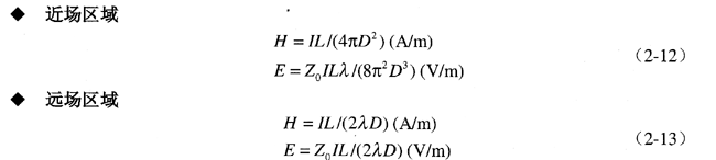
•共模輻射:當傳輸信號的導體的電位與鄰近導體的電位不同時,相互之間就會產生電流。即使沒有任何導體連接,高頻電流也會通過寄生電容流動。這種電流稱為共模電流,其產生的輻射稱為共模輻射。
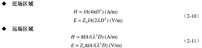
電纜的輻射主要以共模輻射為主。用電流環路模型來分析差模輻射,可分別得出近場區域和遠場區域的輻射電磁場。
式中,I為環路電流;A為環路面積;D為觀測點到環路的距離;Zo為自由空間的阻抗;λ為電流頻率所對應的波長。同理分析共模輻射,分別得出近場區域和遠場區域的輻射電磁場。

式中,I為環路電流;L為導線長度;D為觀測點到環路的距離;Zo為自由空間的阻抗;λ為電流頻率所對應的波長。
公式中的電流為共模電流。與前面差模電流不同的是,共模電流的實際值很難預先估算出來。
以上介紹的輻射并不完全符合實際應用電路的情況,因為公式的推導都假設在單根導線模型中,電路阻抗在近場為無限大,并且在電流環路模型中,電路是短路的。在實際電路中,電路不是理想的環路,也不是完全開路的導線。因此,利用理想模型進行輻射估計,會在近場出現較大的誤差。為了修正實際與理想模型所帶來的誤差,下面分別給出近場和遠場的修正導線計算模型:


式中,V為源的電壓;A為環路面積;f為電流的頻率;D為觀測點到電路的距離。
同時,遠場的輻射與電路的阻抗無關。各種數量關系如圖所示。

圖實際輻射電路簡化圖
另外,在電磁兼容標準中,通常使用電場強度來表征輻射的強度。實際中只要對電場強度作出規范的限制,即可使電路達到電磁兼容的標準。這里,最常用的公式是差模輻射預測公式,用于預測電路的差模輻射是否會導致輻射超過電磁兼容標準。
E=2.6IAf2/D(μV/m)(2-16)
由上面的公式可知,直接得出減小差模輻射就是控制差模電流I、頻率f或環路面積A。使用低功耗的芯片,利用緩沖器都可以減小差模電流I;使用低速芯片,降低電路的頻率可以減小f.但這兩種方法在實踐中都有一定的局限性。剩下的而且是最現實的手段就是控制信號的環路面積。這要求設計者在選用芯片時盡量選用大規模集成電路,采用表面安裝工藝制造的芯片,不使用安裝座等;另一方面,在線路板布線時,盡量控制信號回路的面積。
最常用共模輻射預測公式為
E=1.26ILf/D(2-17)
同理可知,只要控制以上公式的3個參量,即可達到減小共模輻射的標準。可以采用共模扼流圈,在共模電壓一定的情況下,增加共模電流流動路徑的阻抗;或在滿足使用要求的前提下,盡量縮短電纜。




