- 電路保護原理
- 電路硬件電路
- 電路參數計算
- 電池保護電路帶有滯回區
為保證無人值守的設備(比如考勤機等)在斷電后仍能運行,通常要加入蓄電池作為后備電源。在電網斷電后,后備電池開始對設備進行供電。這時,必須設置電池過放電保護電路。最簡單的電池保護是設置一個電壓保護門限,當電池電壓降到這個門限值之后,自動斷開回路,停止對負載供電。但由于負載被斷開之后,電池端電壓會迅速升高至門限電壓以上,于是電池又被重新接入電路給負載供電,此后會重復“斷開一接通一斷開一接通”的振蕩過程,直到電池徹底耗盡。這對電池的壽命會產生很大的影響,甚至損壞電池。所以,必須設計一種帶有滯回功能的自動保護電路。
目前市場上有一些現成的電池保護芯片可以應用,但這些芯片多應用于鋰電池的保護,電壓等級多集中在5V左右。在一些電壓等級較高的蓄電池應用中,例如,10V至50V的供電系統可能就無法應用。本文提供了一種簡單有效的帶有滯回區的電池保護電路,可以設置兩個電壓門限,避免產生振蕩,又因為這兩個門限可以通過電阻任意設置,因此能夠應用到幾十伏的電池系統中。
1保護原理
如圖1(a)所示,假設電池電壓為UBAT,系統只設置一個保護門限電壓UTH。則當電池電壓低于UTH時,比較電路輸出低電平,負載被斷開。但由于負載的移除,電池端電壓迅速上升至UTH以上,比較器重新輸出高電平,負載又被接入,從而形成振蕩。

但如果在比較電路中設置兩個門限電壓:UTHH和UTHL(UTHH>UTHL),則可以形成一個滯回區,如圖1(b)所示。當電池電壓從低升高至UTHH時,比較器輸出高電平,打開電子開關,給負載供電;當電池電壓降低至UTHL時,比較器輸出低電平,斷開負載。這個時候電池端電壓雖然會迅速升高至UTHL以上,但由于達不到UTHH,所以,比較器仍然輸出低電平,負載仍被斷開,直到電池被充電后電壓升高至UTHH以上才能再次接通負載。這樣就避免了電路的振蕩,保護了負載和電池。
雖然絕大多數比較器中都帶有滯回電路,但通常內部滯回電路的滯回電壓(即UTHH一UTHL)僅為5mV到10mV,根本不能用于過放電保護。圖2(a)電路中利用比較器的輸出反饋自動調節比較電壓的參考值,使輸入電壓在不同的區間時,被比較的門限電壓在UTHH和UTHL之間轉化。圖2(b)給出了輸入信號變化時的輸出響應,利用比較器的輸出信號來驅動電子開關,當Output為高時,電池被接入系統,當Output為低時,負載被斷開。
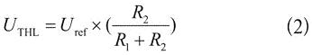
[page]當電池電壓UBAT較低時,比較器輸出低電平,使三極管VT截止,此時的門限電壓為:

直到電池電壓URAT高于UTHH時比較器才輸出高電平,負載才能被接通,同時VT被導通,R3近似被短路,門限電壓自動調整為:

此后,即使電池電壓低于UTHH,但只要仍高于UTHL,電池就一直處于輸出狀態,直到電壓降低至UTHL后,Output為低電平,負載被斷開。同時,VT變為截止,門限電壓重新轉化為UTHH,雖然負載的移除使電池端電壓上升,但由于仍低于UTHH,負載不會重新被接通。這樣就有效的保護了電池,延長了電池的使用壽命。
2硬件電路
式(1)和式(2)是理論上的公式,實際上,為了將上述的滯回原理應用于實際的電池系統,還要考慮一個參考電壓的問題。參考電壓Uref是不能變的,否則上下電壓門限就會發生變化。而且參考電壓是由電池電壓供電產生的,它必須比電池電壓低的多,而且功耗極小。
圖3是具體的硬件電路圖,參考電壓由LM285Z一2.5分流穩壓器產生,它最低只需要10μA的通過電流就可輸出穩定的2.5V參考電壓,這可大大降低電池在低壓閉鎖狀態的功耗。比較器選用了ST公司TS393I,它是一種微功耗比較器,這樣,所有分壓電阻的阻值可以選的很大,進一步降低了功耗。比較器的輸出控制P溝道的MOSFET、VT3接通或斷開負載。當電池電壓降低到一定程度時VT2關斷,使得由比較器組成的保護電路與電池斷開,極大地減小的電池的能量消耗,電池處于一種近似自然放電的狀態;當電池電壓恢復時,VT2自然導通,保護電路重新恢復工作。

3參數計算
我們以9V的電池為例來進行參數計算。第l步:根據電池的特性設置上下電壓門限UTHH=7.8V和UTHL=6V。
第2步:為了保證當電池電壓達到低電壓鎖存門限時分壓穩壓器LM285Z一2.5仍能正常工作,則要保證LM285Z一2.5上流過的電流

但由于分流穩壓器還要分出一部分電流給其它電阻網絡用,留出2倍的裕量,所以實際的應保證Iref>20μA,這樣可求出R6=175kΩ,取R6=125kΩ。



