【導讀】高速接口SerDes為實現芯片間信號的有線傳輸,需要完成數字到模擬的轉化,經過通道傳輸后,再將模擬信號轉回數字信號。并保證傳輸過程保持比較低的誤碼率。本期,結合信道的特性,我們來了解一下SerDes的發送端TX的均衡原理。
SerDes的整個模型可以簡單表示為圖1所示。其中經過串化后的數字信號流,經過TX Driver轉化為NRZ編碼的波形發送到TX輸出端,經過信道傳輸,被RX前端采樣和比較,解碼得到正確的數據。模型上就是從{dk}到y(t)的過程。

圖1
其中數字信號表示為{dk},這里為方便敘述,dk取值歸一化為±1,分別代表邏輯“1”和“0”。其轉化關系為是線性的。同樣將TX輸出y(t)歸一化為±1的波形如圖2。可以將TX的單位沖激響應Φ(t)看做是一個窗函數rect,也就是一個零階保持器(Zero-order Hold,ZOH)。Tx Driver就通過ZOH完成了離散信號到連續信號的轉換。
如圖2,經過ZOH連續化的NRZ編碼信號,可以分解為1UI寬度的幅度為±1的脈沖信號了。

圖2
從信號與系統中,我們知道,滿足采樣定理的原始信號經過采樣后,為了重建(reconstruction)原始信號,需要對采樣信號在頻域加理想窗函數rect。
如圖3,rect和sinc函數是一對傅里葉變換對。頻域窗函數rect其時域則是sinc函數。這種理想信號重建方式,實際上,比較難以實現。
ZOH作為最簡單的離散信號連續化手段,其對應的頻域是個sinc函數。可以看到,頻域sinc函數衰減了高頻成分,雖然無法完全消除。但因其時域的實現方式簡單容易,而廣泛應用。

圖3
在TX的信號轉化模型中,我們可以看到,將離散非周期信號{dk}轉化為連續非周期信號y(t),采用的是ZOH的零階保持。對應的頻譜從連續周期變化為連續非周期。這是因為表示ZOH的矩形窗函數rect在頻域是連續非周期的sinc函數。過程如圖4,也就是頻域經過sinc函數整形。

圖4
小結
總結一下,就是TX發送端完成了離散數字信號的連續化。
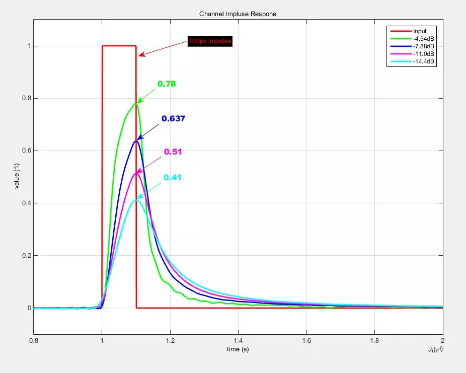
對于一定的信道,隨著SerDes的數據速率越來越高,數據傳輸到接收端時,已經比較難以分辨了,接收端會得到大量的錯誤數據。至于信道模型,基本都是等效為我們先前聊過的傳輸線。圖5給出幾個不同長度FR4板材的傳輸線特性,主要是插入損耗S21隨頻率的變化曲線。

圖5
可以看到在設計的比較好的信道時,其損耗和頻率的關系相對比較線性。信道對不同頻率成分的衰減量是不一致的。而實際信號的頻率會比較豐富。這會導致信號有比較嚴重的碼間干擾(后邊具體說明)。
因此需要在接收端RX,采用不同的均衡手段,來降低信道的低通頻率特性的影響,但為應對更大的信道衰減,在更高的數據率下,也需要在發送端集成均衡方案。這種均衡方式常稱為前饋均衡(Feed-Forward Equalization,FFE)。利用的是數字信號處理中最常見的有限長度沖激響應(Finite Impulse Response)濾波器。
那么對于SerDes的發送端均衡,我們要考慮的FIR就必須具有高通特性,以此來提前補償一定程度的信道損耗。
至于具體的FIR實現上,需要分析FIR的補償量,階數。同時綜合考慮應用場景特性,發送端電路實現和用戶的易用性等因素。圖6給出了個簡單的2階3-tap結構的FIR例子。

圖6
其中3個tap的系數就是設計參數,盡管我們已經確定需要FIR的頻域特性是高通特性。但考慮到電路實現時(特別是功耗這一點上),就有兩種不同的FIR的兩均衡方式,分別稱之為預加重(Pre-emphasis)和去加重(De-emphasis)。其歸一化頻域特性和離散時域表達式如圖7所示。

圖7
看到預加重和去加重的典型區別是,在多檔可調均衡量設計中,是否具有恒定的最大輸出擺幅(也就是fixed peak swing)。比如說去加重就是典型的fixed Vpk。而預加重的最大輸出幅度和加重量相關。表現為圖7中歸一化奈奎斯特頻率是否恒定。
加重量的計算可以直觀從圖7表達式看到。DC頻率幅度和奈奎斯特頻率幅度比值取對數坐標即可。
可以這么理解,去加重方式主要是降低中低頻分量,保持高頻分量恒定;而預加重主要是保持低頻恒定,增加中高頻分量。給定圖7所示系數C0=0.1,C2=0.2,一個典型的去加重和預加重波形如圖8所示。

圖8
如果說發送端在無均衡模式下,只能看做1bit的D/A轉化器,那么包含FFE均衡的發送端就是多bit的ADC了。在實際的實現過程中,無論是電壓型的SST結構和電流型的CML結構。都可以采用了多份疊加的實際思路,如圖9的示意圖。

圖9
那么現在還剩下一個問題就是FIR的系數怎么確定,為什么c0和c2要取負值。回答這個問題前,我們先了解下信道的脈沖響應。
如圖10所示。10Gbps數據率下,對應圖5不同損耗的單位脈沖響應。可以看到隨著損耗的增加,響應信號最大幅度逐漸減小,并表現出了越來越嚴重(幅度和持續時間)的“拖尾”,這就是我們常說的碼間干擾(ISI)。

圖10
可見在需要長距離傳輸時(通常損耗量和長度正相關),為保持信號盡可能的小的衰減,就需要使用更好材質的傳輸線,或更進一步使用光纖傳輸。
為了更形象的理解ISI的干擾作用,圖11和圖12給出了更進一步的說明。
圖11是一個典型的信道輸入信號的脈沖分解。這里脈沖初值給了0(對應實際的發送器輸出為idle態,也就是共模)。之后是“1111101”的脈沖。將該輸入送給圖10中具有-14.4dB@5GHz的信道。

圖11
圖12是輸出結果波形。信道通常是LTI系統,可以看到8個相隔為1UI=100ps的脈沖響應。還有一些疊加信號,黃色是僅前3個+脈沖的疊加結果,藍色為前6個+脈沖的疊加,紅色為前6個+脈沖加第7個-脈沖的疊加結果,黑色為全部8個脈沖的疊加結果。

圖12
從圖12比較明顯地觀察到,前6個+脈沖和第8個+脈沖的影響,導致第7個-脈沖的幅度裕量(和0電壓比較)很小了。如果再加上噪聲和其他干擾,比較容易導致RX端判斷錯誤。下邊量化一下ISI的影響。
圖13給出-14.4dB@5GHz信道的脈沖響應,包括前標(pre_cursor)、主標(main_cursor)和后標(post_cursor)的具體量值。這些標量在計算經過信道后眼圖的“眼高”時有重要指導意義。
比如圖13中給出了出現最小眼高的Case。一般是在出現連續多個UI的邏輯“0”(或“1”)之后,緊接著出現邏輯“10”(或“01”),或者相反的情況(圖12例子)。

圖13
需要注意的worst case眼高值y的計算公式。當然實際上眼高和數據密切相關,比如我們在用PRBS7和PRBS15等進行仿真時,可以明顯看到PRBS7的眼高就比PRBS15的更大一些。這里邊就是因為PRBS7碼型最多出現7個連續的邏輯“0”或者“1”。導致計算式中post_cursor的和偏小。worst case的“眼高”估計,是RX端設計的重要參考指標。
最后就是FIR系數計算方式,一種是迫零法(Zero Force),另一種是最小均方誤差(Minimum Mean Square Error,MMSE)。
限于篇幅,這里給一個迫零法的簡單說明。這里利用圖13中給出的14.4dB的脈沖響應,計算一下實現圖6和7中3-tap結構FIR。可以看到FIR系數的計算就是利用脈沖響應構成的矩陣運算,其中P是無前后標的理想脈沖響應[0 1 0],歸一化后可以得到系數的計算結果。

圖14
MMSE不不強迫后標都是零值,而是使所有后標的總能量最小。是一種比迫零法更好的方法。
說明
需要說明的是,在我們FIR的實現中,可以只用Pre-cursor C0(C2=0)或者Post_cursor C2(C0=0)進行均衡加重,也可以兩者都用,區別表現在TX輸出的幅度穩態值個數不同。
最后再放一張包含了同時包含Pre-cursor去加重和post-cursor去加重量的發送端眼圖。可以在圖15的眼圖上看到約6個穩態幅度量。分別代表了高中低等頻率分量。

圖15
到了最后還是不得不說一下TX端均衡的局限性,最主要的就是發送器的均衡程度很難做好根據應用場景的自適應調節。一般都是留一些可調整的檔位供用戶選擇。但這不妨礙TX端的均衡能夠進一步提高SerDes的過channel能力,提高串口的性能。總之,屬于錦上添花的feature。
免責聲明:本文為轉載文章,轉載此文目的在于傳遞更多信息,版權歸原作者所有。本文所用視頻、圖片、文字如涉及作品版權問題,請聯系小編進行處理。
推薦閱讀:





